Hỗ trợ tư vấn
Tư vấn - Giải đáp - Hỗ trợ đặt tài liệu
Mua gói Pro để tải file trên Download.vn (không bao gồm tài liệu cao cấp) và trải nghiệm website không quảng cáo
Tìm hiểu thêm »Đề thi Violympic Toán lớp 9 vòng 14 năm 2015 - 2016 là đề thi giải Toán qua mạng có đáp án đi kèm, hi vọng giúp các em học sinh ôn tập và củng cố kiến thức, nhằm đạt kết quả cao trong các vòng tiếp theo của cuộc thi Violympic giải Toán qua mạng năm học 2015 - 2016.
Câu 1.1: Tính (√12 + √3)(√27 - √3) = ...........
Câu 1.2: Giá trị lớn nhất của biểu thức:
là: .............
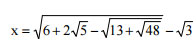
Câu 1.3: Số nghiệm của phương trình:
là ...........
Câu 1.4: Tính:
.............
Câu 1.5: Để đa thức 2ax2 + bx - 3 chia hết cho 4x - 1 và x + 3. Khi đó a + b = .........
Câu 1.6: Nghiệm của phương trình
là x = ..........
Câu 1.7: Cho biểu thức 
Giá trị lớn nhất của biểu thức A là ..........
Câu 1.8: Giá trị của biểu thức:
tại
là .............
Câu 1.9: Biết x; y; z thỏa mãn:
=0. Khi đó x + y - z = .............
Câu 1.10: Nghiệm nguyên dương nhỏ nhất của bất phương trình:
là x = ...........
Câu 2.1: Cho biểu thức: ![]()
Với giá trị nào của x thì giá trị của A là một số nguyên.
A. x = ±3; x = ±5 B. x = ±1; x = ±5
C. x = ±1; x = ±3 D. Với mọi x
Câu 2.2: Khẳng định nào sau đây là đúng:
A. √3; √(7 + 1); √15 là số vô tỉ.
B. √3; √(7 + 1); √(15 +1) là số vô tỉ.
C. √3; √7; √(15 +1) là số vô tỉ.
D. √(3 +1); √7; √15 là số vô tỉ.
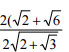
Câu 2.3: Giá trị của biểu thức khi là: 
A. 3√2 B. √2/2 C. √2 D. 2√2
Câu 2.4: Tập nghiệm của phương trình
là:
A. x = 3/2; x = 5/2 B. x = 5/2 C. Vô nghiệm D. x = 3/2
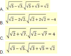
Câu 2.5: Chọn kết quả đúng trong các phép tính dưới đây:

Câu 2.6: Cho biểu thức
với a < 2, sau khi rút gọn A được kết quả là:
A. A = -1/8 B. B = 1/8
C. A = 1/8 .(2 + a) D. 1/8 .(2 - a2)
Câu 2.7: Cho biểu thức
với a < 0 và b > 0. Sau khi rút gọn thu được:
A. P = -1/√-a B. P = 1/√-a
C. P = -1/√a D. P = 1/√a
Câu 2.8: Khẳng định nào sau đây là đúng:

C. -3√x2 = 3x với mọi x ≤ 0
D. a√x2 = ax với mọi x
Câu 2.9: Giá trị của phân thức bằng: 
A. 2√2/3 B. 2√3/3 C. 4/3 D. 2
Câu 2.10: Biểu thức:
xác định khi:
A. x ≠ 5 B. x ≤ -3 hoặc x > 5
C. Với mọi x D. -3 ≤ x < 5
Câu 3.1: Nếu 2 đường thẳng y = -3x + 1 (d1) và y = (m +1)x + m (d2) song song với nhau thì m bằng:
A. 3 B. -4 C. -3 D. -2
Câu 3.2: Hàm số:
là hàm số bậc nhất khi:
A. m ≤ 3 B. m = 3 C. m < 3 D. m > 3
Câu 3.3: Đường thẳng y = x + 2√3 và y = 3x + 2√3 trên cùng một mặt phẳng tọa độ có vị trí tương đối là:
A. Trùng nhau
B. Song song
C. Cắt nhau tại điểm có tung độ 2√3
D. Cắt nhau tại điểm có hoành độ 2√3
Câu 3.4: Một đường thẳng đi qua điểm M(0; 4) và song song với đường thẳng x - 3y = 7 có phương trình là:
A. y = -3x + 4 B. y = 1/3 .x + 4
C. y = -3x - 4 D. -1/3 .x + 4
Câu 3.5: Cho ![]()
Biểu thức A có nghĩa khi:
A. x ≠ 3; x ≠ ±2 B. x ≠ -1
C. x ≠ ±3 D. x ≠ ±3; x ≠ -2
Bài 1: Hãy điền số thích hợp vào chỗ chấm
Câu 1.1: 18
Câu 1.2: 2
Câu 1.3: 2
Câu 1.4: 1
Câu 1.5: 13
Câu 1.6: - 1
Câu 1.7: 1
Câu 1.8: 1
Câu 1.9: 6
Câu 1.10: 3
Bài 2: Cóc vàng tài ba
Câu 2.1: C
Câu 2.2: A
Câu 2.3: C
Câu 2.4: C
Câu 2.5: A
Câu 2.6: C
Câu 2.7: A
Câu 2.8: C
Câu 2.9: D
Câu 2.10: D
Bài 3: Đi tìm kho báu
Câu 3.1: B
Câu 3.2: C
Câu 3.3: C
Câu 3.4: B
Câu 3.5: D
Theo Nghị định 147/2024/ND-CP, bạn cần xác thực tài khoản trước khi sử dụng tính năng này. Chúng tôi sẽ gửi mã xác thực qua SMS hoặc Zalo tới số điện thoại mà bạn nhập dưới đây: