Hỗ trợ tư vấn
Tư vấn - Giải đáp - Hỗ trợ đặt tài liệu
Mua gói Pro để tải file trên Download.vn (không bao gồm tài liệu cao cấp) và trải nghiệm website không quảng cáo
Tìm hiểu thêm »Mời quý thầy cô và các bạn học sinh cùng tham khảo: Đề thi Violympic Toán lớp 9 vòng 12 năm 2016 - 2017. Nội dung đề thi bám sát chương trình học theo yêu cầu và quy định của Bộ GD&ĐT. Tham khảo tài liệu để các bạn củng cố kiến thức, tích lũy kinh nghiệm giải đề và biết cách phân bổ thời gian hợp lý trong bài thi. Chúc các bạn luyện thi thật tốt và đạt kết quả cao trong những vòng tiếp theo của kì thi Violympic Toán!
Đề thi Violympic Toán lớp 9 vòng 12 năm 2016 - 2017
Bài 1: Sắp xếp

Trả lời: ... < ... <... <... <... <... <... <... <... <... <... <... <... <... <... <... <... <... <... <...
Bài 2: Mười hai con giáp
Câu 1: Phương trình
có nghiệm là:
A. 2/5 B. 12/5 C. -(12/5) D. -(2/5)
Câu 2: Cho hàm số y = f(x) = -2x + 1. Với f(x) = -3, thì x nhận giá trị nào sau đây
A. 1 B. -2 C. 2 D. 3
Câu 3: Tính ![]()
A. 0,045 B. 0,675 C. 0,0225 D. 0,225
Câu 4: Cho
Tìm x > 1 sao cho P = - 4.
Trả lời: x = ...
C. 2 D. -2
Câu 5: Căn bậc hai số học của 20 là
A. √20 B. 2√10 C. -2√10 D. -√20
Câu 6: Cho
Tìm x > 1 sao cho P = - 4.
Trả lời: x = ...
A. 1 B. 2 C. 4 D. 3
Câu 7: Tính: 4. √(-0,5)2
A. -20 B. 2 C. 20 D. -2
Câu 8: Tập hợp tất cả các giá trị của x để biểu thức
đạt giá trị nguyên là:
A. {0; 4; 9} B. {0, -4; -9} C. {4; 9} D. 0; 4; 9
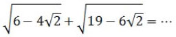
Câu 9: Tính 
A. 3 - 4√2 B. 5 - 3√2 C. 5 -√2 D. 2√2 + 1
Câu 10: Cho đường thẳng d: y = -x + 1 và điểm M (0; 1). Khoảng cách từ M tới đường thẳng d là ...
A. 0 B. 1 C. √2 D. 2
Bài 3: Đừng để điểm rơi
Câu 1: Căn bậc hai số học của 144 là
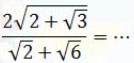
Câu 2: Tính: 
Câu 3: Tính sin150 - cos 750
Câu 4: Cho tam giác ABC vuông tại A, có AB = 12cm, tanB = 3/4. Vậy AC = ...cm
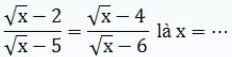
Câu 5: Giá trị của x thỏa mãn 
Câu 6: Tính 
Câu 7: Tính: (sinα + cosα)2 + (sinα - cosα)2 = ...
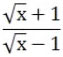
Câu 8: Tính 
Câu 9: Tìm giá trị nhỏ nhất của biểu thức:

Trả lời: Giá trị nhỏ nhất của A là ...
Bài 1
Trả lời: 10 < 4 < 9 < 7 < 1 < 8 < 3 < 6 < 5 < 2; (10) < (4) < (9) < (7) < (1) < (8) < (3) < (6) < (5) < (2)
Bài 2
|
Câu 1: B Câu 2: C Câu 3: D Câu 4: A Câu 5: A |
Câu 6: C Câu 7: B Câu 8: A Câu 9: D Câu 10: A |
Bài 3
|
Câu 1: 12 Câu 2: 1 Câu 3: 0 Câu 4: 9 Câu 5: 64 |
Câu 6: 1 Câu 7: 2 Câu 8: 4 Câu 9: 2
|
Theo Nghị định 147/2024/ND-CP, bạn cần xác thực tài khoản trước khi sử dụng tính năng này. Chúng tôi sẽ gửi mã xác thực qua SMS hoặc Zalo tới số điện thoại mà bạn nhập dưới đây: