Hỗ trợ tư vấn
Tư vấn - Giải đáp - Hỗ trợ đặt tài liệu
Mua gói Pro để tải file trên Download.vn (không bao gồm tài liệu cao cấp) và trải nghiệm website không quảng cáo
Tìm hiểu thêm »Nhằm giúp các bạn học sinh chuẩn bị tốt hơn cho những vòng thi tiếp theo của kì thi Violympic, Download.vn xin giới thiệu đến các bạn: Đề thi Violympic Toán lớp 9 vòng 13 năm 2016 - 2017. Hy vọng đây sẽ là tư liệu tham khảo hữu ích cho các bạn học sinh trong việc học và luyện thi!
Đề thi Violympic Toán lớp 6 vòng 13 năm 2016 - 2017
Bài 1: Đừng để điểm rơi
Câu 1: Cho đường tròn đường kính AB = 5cm, điểm C nằm trên đường tròn sao cho AC = 3cm. Tính độ dài cạnh BC?
Câu 2: Tính sin260 - cos640 =...
Câu 3: Cho hàm số y = f(x) = mx + m + 2. Tìm m biết f(3) = 10.
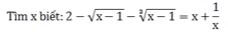
Câu 4: Tìm x biết
. Vậy x =...
Câu 5: Cho hai đường thẳng (d1):y = -2x + 1 và (d2):y = (2m - 3)x + 3 - m. Tìm m để (d1) cắt (d2) tại điểm có tung độ bằng 3. Giá trị của m là:...
Câu 6: Tính ![]()
Câu 7: Cho ΔABC vuông tại A, đường cao AH. Biết AB = 15cm, BH = 9cm khi đó độ dài AH là:... cm
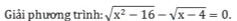
Câu 8: Giải phương trình:
. Vậy x =...
Câu 9: Tìm giá trị nhỏ nhất của biểu thức A = x + √x.
Câu 10: Cho đường tròn tâm A bán kính AB, dây EF kéo dài cắt AB tại C (E ở giữa C và F) hạ AD vuông góc với FC. Cho AB = 10cm, AD = 8cm, CF = 21cm. Tính độ dài AC?
Bài 2: Đập dế
Câu 1: Rút gọn biểu thức
ta được kết quả là:
A) √b
B) √a
C) -√a
D) -√b
Câu 2: Cho (O; 5), dây AB = 4cm. Khoảng cách từ O tới AB là:
A) √21cm
B) √29cm
C) 4cm
D) 3cm
Câu 3: Trục căn thức ở mẫu biểu thức
ta được kết quả là:
A) -3 - √7
B) 3 + √7
C) 2(3 + √7)
D) -2(3 + √7)
Câu 4: Điểm A(2; 1) nằm trên đồ thị hàm số nào sau đây?
A) y = -2x + 3
B) x = -2y + 3
C) y = -x + 4
D) y = -2x + 5
Câu 5: ![]()
A) 0
B) -2√3
C) ![]()
D) 4
Câu 6: Nhóm số đo nào dưới đây là số đo bốn góc của một tứ giác?
A) 1000; 1100; 1200; 1300
B) 820; 860; 880; 840
C) 750; 370; 1350; 1330
D) 600; 700; 1200; 1100
Câu 7: Cho hàm số
. Giá trị của m để đồ thị hàm số là đường thẳng song song với Ox là:
A) m < 1/6
B) m = 2/3
C) m > 1/6
D) m = 1/6
Câu 8: Hãy chọn phương án đúng điền vào dấu... dưới đây: Đường tròn là hình....
A) Chỉ có hai trục đối xứng
B) Có vô số trục đối xứng
C) Không có trục đối xứng
D) Chỉ có một trục đối xứng
Câu 9: Giải phương trình
ta được kết quả
A) x ≥ 1/2
B) 1/2 ≤ x ≤ 1
C) Phương trình vô nghiệm
D) x ≤ 1
Câu 10: Cho ΔMON vuông tại O, đường phân giác của góc O chia MN thành hai đoạn có độ dài
. Tính diện tích ΔMON.
A) 108
B) 42
C) 48
D) 54
Bài 3: Mười hai con giáp
Câu 1: ![]()
Câu 2: ![]()
Câu 3:
. Vậy x =...
Câu 4: ![]()
Câu 5: ![]()
Câu 6: 
Câu 7: Cho hai đường tròn (O, 13cm) và (O', 15cm) cắt nhau tại hai điểm A, B biết AB = 24cm. Tính độ dài đoạn OO'?
Câu 8: Cho α là một góc nhọn, ta có tanα.cosα =...
Câu 9: ![]()
Câu 10: Cho ΔABC vuông tại A có AB = 6cm, AC = 8cm nội tiếp đường tròn có bán kính R. Vậy R =... cm
Bài 1
| Câu 1: 4 Câu 2: 0 Câu 3: 2 Câu 4: 1 Câu 5: 1 |
Câu 6: 5 Câu 7: 12 Câu 8: 5 Câu 9: 0 Câu 10: 17 |
Bài 2
| Câu 1: B Câu 2: A Câu 3: A Câu 4: D Câu 5: B |
Câu 6: D Câu 7: D Câu 8: B Câu 9: B Câu 10: D |
Bài 3
| Câu 1: 21 Câu 2: 3 Câu 3: 1 Câu 4: 1 Câu 5: 0,008 |
Câu 6: 2 Câu 7: 14 Câu 8: 1 Câu 9: 4 Câu 10: 5 |
Theo Nghị định 147/2024/ND-CP, bạn cần xác thực tài khoản trước khi sử dụng tính năng này. Chúng tôi sẽ gửi mã xác thực qua SMS hoặc Zalo tới số điện thoại mà bạn nhập dưới đây: