Hỗ trợ tư vấn
Tư vấn - Giải đáp - Hỗ trợ đặt tài liệu
Mua gói Pro để tải file trên Download.vn (không bao gồm tài liệu cao cấp) và trải nghiệm website không quảng cáo
Tìm hiểu thêm »Đề thi Violympic Toán lớp 9 vòng 14 năm 2016 - 2017 bao gồm đầy đủ câu hỏi và đáp án để các em học sinh lớp 9 tham khảo, ôn luyện cho kỳ thi Violympic Toán đạt được kết quả cao. Mời các em cùng tham khảo nội dung chi tiết Đề thi Violympic Toán lớp 9 vòng 14 năm nay:
Bài 1: Đi tìm kho báu
Câu 1:

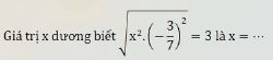
Câu 2:
![]()
Câu 3: Giá trị nhỏ nhất của P = x + √x - 6 là:...
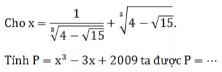
Câu 4:
![]()
Câu 5: Giá trị của P = x3 + y3 - 3(x + y) + 1977 biết
![]()
Bài 2: Mười hai con giáp
Câu 1:
![]()
Câu 2: Tìm m để đồ thị hàm số y = (m - 3)x đi qua điểm A(1; 2). Vậy m =...
Câu 3:

Câu 4:
![]()
A) A < B
B) A > B
C) A = B
D) không so sánh được
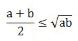
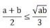
Câu 5: Cho hai số a, b không âm, khẳng định nào sau đây đúng:
A.![]()
B.![]()
C.![]()
D.![]()
Câu 6: Tìm tất cả các giá trị của x thỏa mãn:
A) x ≥ 5
B) x = 5
C) x < 5
D) x = 6
Câu 7: Tìm x biết x - 4√x + 4 = 0. Vậy x =...
Câu 8: Tính sin2350 + sin2550 =...
Câu 9: Rút gọn P = cos2α + cos2α.cot2α (với 00 < α < 900) ta được:
A) P = 1 + cotα
B) P = cot2α
C) P = 1 - cotα
D) P = tan2α
Câu 10: Căn bậc hai số học của 144 là:
A) -12
B) 12
C) -11
D) 11
Bài 3: Đừng để điểm rơi
Câu 1: Tính √0,04 + √0,25 =...
Câu 2: Tìm m để A(1; 2) thuộc đồ thị hàm số y = x + m. Vậy m =...
Câu 3: Tìm a để đồ thị hàm số y = ax + 2 song song với đồ thị hàm số y = 5x - 2. Vậy a =...
Câu 4: Tìm x biết √x = 3. Vậy x =...
Câu 5: Tính ![]()
Câu 6:

Câu 7: Tìm x biết (2 + √x)(√x + 1) = x + 5. Vậy x =...
Câu 8: Cho hàm số y = (m2 - 2m + 1)x. Với giá trị nào của m thì đồ thị hàm số là trục hoành?
Câu 9:
![]()
Câu 10: Cho ΔABC vuông ở A, dựng đường tròn tâm I đi qua B và tiếp xúc với AC. Cho AB = 24cm, AC = 32cm. Tính bán kính đường tròn tâm I?
Bài 1: Đi tìm kho báu
Câu 1: 7
Câu 2: 2
Câu 3: -6
Câu 4: 6
Câu 5: 2107
Bài 2: Mười hai con giáp
| Câu 1: 25 Câu 2: 5 Câu 3: 2017 Câu 4: C Câu 5: C |
Câu 6: A Câu 7: 4 Câu 8: 1 Câu 9: B Câu 10: B |
Bài 3: Đừng để điểm rơi
| Câu 1: 0,7 Câu 2: 1 Câu 3: 5 Câu 4: 9 Câu 5: 2 |
Câu 6: 4/3 Câu 7: 1 Câu 8: 1 Câu 9: 1 Câu 10: 15 |
Theo Nghị định 147/2024/ND-CP, bạn cần xác thực tài khoản trước khi sử dụng tính năng này. Chúng tôi sẽ gửi mã xác thực qua SMS hoặc Zalo tới số điện thoại mà bạn nhập dưới đây: