Đề thi tuyển sinh lớp 10 THPT tỉnh Tây Ninh năm học 2012 - 2013 môn Toán Có đáp án

SỞ GIÁO DỤC VÀ ĐÀO TẠO
TÂY NINH

ĐỀ THI CHÍNH THỨC

KỲ THI TUYỂN SINH VÀO LỚP 10 THPT
NĂM HỌC 2012 - 2013

MÔN THI: TOÁN
Ngày thi: 02/07/2012
Thời gian làm bài: 120 phút (không kể thời gian giao đề)

Câu 1: (1 điểm)

Thực hiện các phép tính:

Câu 2: (1 điểm)

Giải phương trình: x2 - 2x - 8 = 0

Câu 3: (1 điểm)

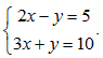
Giải hệ phương trình: .

Câu 4: (1 điểm)

Tìm x để mỗi biểu thức sau có nghĩa:

Câu 5: (1 điểm)

Vẽ đồ thị của hàm số y = x2

Câu 6: (1 điểm)

Cho phương trình x2 - 2(m +1)x + m2 + 3 = 0

a) Tìm m để phương trình có nghiệm.

b) Gọi x1, x2 là hai nghiệm của phương trình đã cho, tìm giá trị nhỏ nhất của biểu thức A = x1 + x2 + x1x2.

Câu 7: (1 điểm)

Tìm m để đồ thị hàm số y = 3x + m - 1 cắt trục tung tại điểm có tung độ bằng 4.

Câu 8: (1 điểm)

Cho tam giác ABC vuông tại A có đường cao là AH. Cho biết AB = 3cm, AC = 4cm. Hãy tìm độ dài đường cao AH.

Câu 9: (1 điểm)

Cho tam giác ABC vuông tại A. Nửa đường tròn đường kính AB cắt BC tại D. Trên cung AD lấy một điểm E. Nối BE và kéo dài cắt AC tại F. Chứng minh tứ giác CDEF là một tứ giác nội tiếp.

Câu 10: (1 điểm)

Trên đường tròn (O) dựng một dây cung AB có chiều dài không đổi bé hơn đường kính. Xác định vị trí của điểm M trên cung lớn sao cho chu vi tam giác AMB có giá trị lớn nhất.

Download tài liệu để xem thêm chi tiết.

Chia sẻ bởi:
Liên kết tải về
Tìm thêm: Toán 9
Xác thực tài khoản!

Theo Nghị định 147/2024/ND-CP, bạn cần xác thực tài khoản trước khi sử dụng tính năng này. Chúng tôi sẽ gửi mã xác thực qua SMS hoặc Zalo tới số điện thoại mà bạn nhập dưới đây:

Số điện thoại chưa đúng định dạng!
Số điện thoại này đã được xác thực!
Bạn có thể dùng Sđt này đăng nhập tại đây!
Lỗi gửi SMS, liên hệ Admin
Sắp xếp theo
👨
Đóng
Chỉ thành viên Download Pro tải được nội dung này! Download Pro - Tải nhanh, website không quảng cáo! Tìm hiểu thêm
Nhắn tin Zalo