Hỗ trợ tư vấn
Tư vấn - Giải đáp - Hỗ trợ đặt tài liệu
Mua gói Pro để tải file trên Download.vn (không bao gồm tài liệu cao cấp) và trải nghiệm website không quảng cáo
Tìm hiểu thêm »
SỞ GIÁO DỤC VÀ ĐÀO TẠO
|
KỲ THI TUYỂN SINH VÀO LỚP 10 THPT
|
Bài 1. (2,0 điểm)
1) Tính:![]()
2) Cho biểu thức: ![]()
a. Rút gọn B.
b. Tìm x để giá trị của B là một số nguyên.
Bài 2. (2,0 điểm)
Cho phương trình: x2 – 4x + m + 1 = 0 (m là tham số).
1) Giải phương trình với m = 2.
2) Tìm m để phương trình có hai nghiệm trái dấu (x1 < 0 < x2). Khi đó nghiệm nào có giá trị tuyệt đối lớn hơn?
Bài 3. (2,0 điểm):
Trong mặt phẳng toạ độ Oxy cho parabol (P): y = -x2 và đường thẳng (d): y = mx + 2 (m là tham số).
1) Tìm m để (d) cắt (P) tại một điểm duy nhất.
2) Cho hai điểm A(-2; m) và B(1; n). Tìm m, n để A thuộc (P) và B thuộc (d).
3) Gọi H là chân đường vuông góc kẻ từ O đến (d). Tìm m để độ dài đoạn OH lớn nhất.
Bài 4. (3,5 điểm)
Cho đường tròn (O), dây cung BC (BC không là đường kính). Điểm A di động trên cung nhỏ BC (A khác B và C; độ dài đoạn AB khác AC). Kẻ đường kính AA’ của đường tròn (O), D là chân đường vuông góc kẻ từ A đến BC. Hai điểm E, F lần lượt là chân đường vuông góc kẻ từ B, C đến AA’. Chứng minh rằng:
1) Bốn điểm A, B, D, E cùng nằm trên một đường tròn.
2) BD.AC = AD.A’C.
3) DE vuông góc với AC.
4) Tâm đường tròn ngoại tiếp tam giác DEF là một điểm cố định.
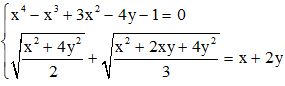
Bài 5. (0,5 điểm):
Giải hệ phương trình: 
Download tài liệu để xem thêm chi tiết.
Theo Nghị định 147/2024/ND-CP, bạn cần xác thực tài khoản trước khi sử dụng tính năng này. Chúng tôi sẽ gửi mã xác thực qua SMS hoặc Zalo tới số điện thoại mà bạn nhập dưới đây: