Đề thi tuyển sinh lớp 10 THPT tỉnh Quảng Ngãi năm học 2012 - 2013 môn Toán Có đáp án

SỞ GIÁO DỤC VÀ ĐÀO TẠO
QUẢNG NGÃI

ĐỀ THI CHÍNH THỨC

KỲ THI TUYỂN SINH VÀO LỚP 10 THPT
NĂM HỌC 2012 - 2013

MÔN THI: TOÁN
Thời gian làm bài: 120 phút (không kể thời gian giao đề)

Bài 1: (1,5 điểm)

1/ Thực hiện phép tính: Đề thi tuyển sinh lớp 10 THPT tỉnh Quảng Ngãi năm học 2012 - 2013 môn Toán

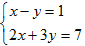
2/ Giải hệ phương trình: Đề thi tuyển sinh lớp 10 THPT tỉnh Quảng Ngãi năm học 2012 - 2013 môn Toán

3/ Giải phương trình: 9x2 + 8x - 1 = 0

Bài 2: (2,0 điểm)

Cho parapol (P): y = x2 và đường thẳng (d): y = 2x + m2 + 1 (m là tham số).

1/ Xác định tất cả các giá trị của m để (d) song song với đường thẳng (d'): y = 2m2x + m2 + m.

2/ Chứng minh rằng với mọi m, (d) luôn cắt (P0 tại hai điểm phân biệt A và B.

3/ Ký hiệu xA; xB là hoành độ của điểm A và điểm B. Tìm m sao cho xA2 + xB2 = 14.

Bài 3: (2,0 điểm)

Hai xe ô tô cùng đi từ cảng Dung Quất đến khu du lịch Sa Huỳnh, xe thứ hai đến sớm hơn xe thứ nhất là 1 giờ. Lúc trở về xe thứ nhất tăng vận tốc thêm 5 km mỗi giờ, xe thứ hai vẫn giữ nguyên vận tốc nhưng dừng lại nghỉ ở một điểm trên đường hết 40 phút, sau đó về đến cảng Dung Quất cùng lúc với xe thứ nhất. Tìm vận tốc ban đầu của mỗi xe, biết chiều dài quãng đường từ cảng Dung Quất đến khu du lịch Sa Huỳnh là 120 km và khi đi hay về hai xe đều xuất phát cùng một lúc.

Bài 4: (3,5 điểm)

Cho đường tròn tâm O đường kính AB = 2R và C là một điểm nằm trên đường tròn sao cho CA > CB. Gọi I là trung điểm của OA. Vẽ đường thẳng d vuông góc với AB tại I, cắt tia BC tại M và cắt đoạn AC tại P; AM cắt đường tròn (O) tại điểm thứ hai K.

1/ Chứng minh tứ giác BCPI nội tiếp được trong một đường tròn.

2/ Chứng minh ba điểm B, P, K thẳng hàng.

3/ Các tiếp tuyến tại A và C của đường tròn (O) cắt nhau tại Q. Tính diện tích của tứ giác QAIM theo R khi BC = R.

Bài 5: (1,0 điểm)
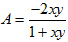
Cho x > 0, y > 0 thỏa mãn x2 + y2 = 1. Tìm giá trị nhỏ nhất của biểu thức Đề thi tuyển sinh lớp 10 THPT tỉnh Quảng Ngãi năm học 2012 - 2013 môn Toán

Download tài liệu để xem thêm chi tiết.

Chia sẻ bởi:
Liên kết tải về
Tìm thêm: Toán 9
Xác thực tài khoản!

Theo Nghị định 147/2024/ND-CP, bạn cần xác thực tài khoản trước khi sử dụng tính năng này. Chúng tôi sẽ gửi mã xác thực qua SMS hoặc Zalo tới số điện thoại mà bạn nhập dưới đây:

Số điện thoại chưa đúng định dạng!
Số điện thoại này đã được xác thực!
Bạn có thể dùng Sđt này đăng nhập tại đây!
Lỗi gửi SMS, liên hệ Admin
Sắp xếp theo
👨
Đóng
Chỉ thành viên Download Pro tải được nội dung này! Download Pro - Tải nhanh, website không quảng cáo! Tìm hiểu thêm
Nhắn tin Zalo