Hỗ trợ tư vấn
Tư vấn - Giải đáp - Hỗ trợ đặt tài liệu
Mua gói Pro để tải file trên Download.vn (không bao gồm tài liệu cao cấp) và trải nghiệm website không quảng cáo
Tìm hiểu thêm »
SỞ GIÁO DỤC VÀ ĐÀO TẠO
|
KỲ THI TUYỂN SINH VÀO LỚP 10 THPT
|
Câu 1: (1,5 điểm)
1) Tính: ![]()
2) Chứng minh rằng với x > 0 và x # 1 thì 
3) Cho hàm số bậc nhất: y = (2m + 1)x - 6
a) Với giá trị nào của m thì hàm số dã cho nghịch biến trên R?
b) Tìm m để đồ thị của hàm số đã cho đi qua điểm A(1; 2).
Câu 2: (2,0 điểm)
1) Giải phương trình: 2x2 + 3x - 5 = 0
2) Tìm giá trị của tham số m để phương trình: x2 + mx + m - 2 = 0 có hai nghiệm x1, x2 thoả mãn hệ thức |x1 - x2| = 2
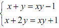
3) Giải hệ phương trình: 
Câu 3: (2,0 điểm)
Một tổ công nhân dự định làm xong 240 sản phẩm trong một thời gian nhất định. Nhưng khi thực hiện, nhờ cải tiến kĩ thuật nên mỗi ngày tổ đã làm tăng thêm 10 sản phẩm so với dự định. Do đó, tổ đã hoàn thành công việc sớm hơn dự định 2 ngày. Hỏi khi thực hiện, mỗi ngày tổ đã làm được bao nhiêu sản phẩm?
Câu 4: (3,5 điểm)
Cho đường tròn (O) cố định. Từ một điểm A cố định ở bên ngoài đường tròn (O), kẻ các tiếp tuyến AM và AN với đường tròn (M; N là các tiếp điểm). Đường thẳng đi qua A cắt đường tròn (O) tại hai điểm B và C ( B nằm giữa A và C). Gọi I là trung điểm của dây BC.
1) Chứng minh rằng: AMON là tứ giác nội tiếp.
2) Gọi K là giao điểm của MN và BC. Chứng minh rằng: AK.AI = AB.AC
3) Khi các tuyến ABC thay đổi thì điểm I chuyển động trên cung tròn nào? Vì sao?
4) Xác định vị trí của cát tuyến ABC để IM = 2IN.
Câu 5. (1,0 điểm)
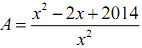
Với x # 0, tìm giá trị nhỏ nhất của biểu thức: ![]()
Download tài liệu để xem thêm chi tiết.
Theo Nghị định 147/2024/ND-CP, bạn cần xác thực tài khoản trước khi sử dụng tính năng này. Chúng tôi sẽ gửi mã xác thực qua SMS hoặc Zalo tới số điện thoại mà bạn nhập dưới đây: