Hỗ trợ tư vấn
Tư vấn - Giải đáp - Hỗ trợ đặt tài liệu
Mua gói Pro để tải file trên Download.vn (không bao gồm tài liệu cao cấp) và trải nghiệm website không quảng cáo
Tìm hiểu thêm »
SỞ GIÁO DỤC VÀ ĐÀO TẠO
|
ĐỀ THI TUYỂN SINH LỚP 10 THPT
|
Câu 1. (2,0 điểm)
a. Tính giá trị các biểu thức sau bằng cách biến đổi, rút gọn thích hợp:![]()
![]()
b. Giải phương trình sau: x4 + 5x2 - 6 = 0
Câu 2. (2,0 điểm)
Cho phương trình:
(với x là ẩn số, m là tham số thực khác 0)
a. Cho m = 1, dùng công thức nghiệm hoặc công thức nghiệm thu gọn của phương trình bậc hai, hãy giải phương trình (1)
b. Chứng minh phương trình (1) luôn có hai nghiệm phân biệt với mọi m # 0.
c. Gọi hai nghiệm của phương trình (1) là x1 và x2. Chứng minh x14 + x24 ≥ 2 + √2
Câu 3. (2,0 điểm)
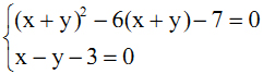
a. Giải hệ phương trình: ![]()
b. Một mảnh vườn hình chữ nhật có chiều dài hơn chiều rộng 6m và bình phương độ dài đường chéo gấp 2,5 lần diện tích mảnh vườn hình chữ nhật. Tính diện tích mảnh vườn đó.
Câu 4. (3,0 điểm)
Cho đường tròn (O; R) và đường thẳng (d) không đi qua O cắt đường tròn tại hai điểm A và B. Lấy một điểm M trên tia đối của tia BA (M # B), vẽ hai tiếp tuyến MC, MD với đường tròn (O), (C, D là các tiếp điểm). Gọi E là trung điểm của AB và I là giao điểm của CD và OM.
a. chứng minh 5 điểm O, E, C, D, M cùng nằm trên đường tròn đường kính OM.
b. Chứng minh rằng: MI.MO = MB.MA
c. Đường thẳng (d') đi qua O và vuông góc với OM cắt các tia MC, MD theo thứ tự tại G và H. Tìm vị trí của điểm M trên đường thẳng (d) sao cho diện tích tam giác MGH bé nhất.
Câu 5: (1,0 điểm)
Người ta gắn một hình nón có bán kính đáy R = 8cm, độ dài đường cao h = 20cm vào một nửa hình cầu có bán kính bằng bán kính hình nón (theo hình vẽ bên). Tính giá trị đúng thể tích của hình tạo thành

Download tài liệu để xem thêm chi tiết.
Chú ý:
- Nếu PC của bạn không đọc được file PDF, hãy tải phần mềm Foxit Reader để cài đặt
- Bạn sử dụng iPhone, iPad,... chạy hệ điều hành iOS có thể tải Foxit Mobile PDF Lite for iOS
- Bạn sử dụng điện thoại hệ điều hành Android thì tải phần mềm Adobe Reader for Android, MultiReader (Android) 0.8.4, eLibris eReader for Android
Theo Nghị định 147/2024/ND-CP, bạn cần xác thực tài khoản trước khi sử dụng tính năng này. Chúng tôi sẽ gửi mã xác thực qua SMS hoặc Zalo tới số điện thoại mà bạn nhập dưới đây: