Hỗ trợ tư vấn
Tư vấn - Giải đáp - Hỗ trợ đặt tài liệu
Mua gói Pro để tải file trên Download.vn (không bao gồm tài liệu cao cấp) và trải nghiệm website không quảng cáo
Tìm hiểu thêm »
SỞ GIÁO DỤC VÀ ĐÀO TẠO
|
KÌ THI TUYỂN SINH LỚP 10 THPT
|
Câu 1: (2 điểm)
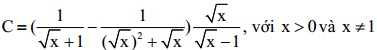
a. Tính giá trị của các biểu thức: ![]()
b .Rút gọn: 
Câu 2: (1 điểm)
Vẽ đồ thị các hàm số y = x2; y = 2x - 1 trên cùng một mặt phẳng tọa độ, xác định tọa độ giao điểm của hai đồ thị đó.
Câu 3: (2 điểm)
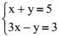
a. Giải hệ phương trình: 
b. Một mảnh đất hình chữ nhật có chiều dài hơn chiều rộng 5 m. Tính kích thước của mảnh đất, biết rằng diện tích mảnh đất là 150 m2.
Câu 4: (4 điểm)
Cho đường tròn (O) và điểm M nằm ngoài đường tròn đó. Qua điểm M kẻ tiếp tuyến MA và cát tuyến MBC (B nằm giữa M và C). Gọi E là trung điểm của dây BC.
a. Chứng minh: MAOE là tứ giác nội tiếp;
b. MO cắt đường tròn tại I (I nằm giữa M và O). Tính ![]()
c. Tia phân giác góc BAC cắt dây BC tại D. Chứng minh: MD2 = MB.MC
Câu 5: (1 điểm)
Tìm nghiệm nguyên x, y của phương trình: x2y2 + (x - 1)2 + (y - 1)2 - 2xy(x + y - 2) = 2.
Download tài liệu để xem thêm chi tiết.
Theo Nghị định 147/2024/ND-CP, bạn cần xác thực tài khoản trước khi sử dụng tính năng này. Chúng tôi sẽ gửi mã xác thực qua SMS hoặc Zalo tới số điện thoại mà bạn nhập dưới đây: