Hỗ trợ tư vấn
Tư vấn - Giải đáp - Hỗ trợ đặt tài liệu
Mua gói Pro để tải file trên Download.vn (không bao gồm tài liệu cao cấp) và trải nghiệm website không quảng cáo
Tìm hiểu thêm »
SỞ GIÁO DỤC VÀ ĐÀO TẠO
|
KỲ THI TUYỂN SINH LỚP 10 THPT
|
MÔN THI: TOÁN (Không chuyên)
Ngày thi: 06/07/2012
(Thời gian làm bài 120 phút không kể thời gian giao đề)
--------------------------------------------------------------------------------
Câu 1: (2 điểm)
1. Tính giá trị của biểu thức: ![]()
2. Rút gọn biểu thức: ![]()
Câu 2: (2 điểm)
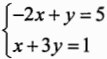
a) Giải hệ phương trình: 
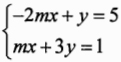
b) Tìm m để hệ phương trình
vô nghiệm
Câu 3: (3 điểm)
Cho phương trình 2x2 - 6x + m = 0 (1), với m là tham số
a) Giải phương trình (1) với m = 4.
b) Với giá trị nào của m thì phương trình (1) có hai nghiệm phân biệt.
c) Tìm m để phương trình (1) có hai nghiệm x1, x2 thỏa mãn điều kiện: 8x12x22 - 12x1x2 - 16 = x12 + x22
Câu 4: (3 điểm)
Cho nửa đường tròn tâm O, đường kính AB. Vẽ các tiếp tuyến Ax, By với nửa đường tròn. Gọi M là điểm chính giữa của cung AB và N là một điểm bất kì thuộc đoạn OA. Đường thẳng vuông góc với MN tại M lần lượt cắt Ax ở D và By ở C.
a) Chứng minh: góc AMN = góc BMC
b) Chứng minh: ΔANM = ΔBCM
c) DN cắt AM ở E và CN cắt MB ở F. Chứng minh EF vuông góc Ax
Download tài liệu để xem thêm chi tiết
Theo Nghị định 147/2024/ND-CP, bạn cần xác thực tài khoản trước khi sử dụng tính năng này. Chúng tôi sẽ gửi mã xác thực qua SMS hoặc Zalo tới số điện thoại mà bạn nhập dưới đây: