Hỗ trợ tư vấn
Tư vấn - Giải đáp - Hỗ trợ đặt tài liệu
Mua gói Pro để tải file trên Download.vn (không bao gồm tài liệu cao cấp) và trải nghiệm website không quảng cáo
Tìm hiểu thêm »
SỞ GIÁO DỤC VÀ ĐÀO TẠO
|
KỲ THI TUYỂN SINH LỚP 10 THPT
|
MÔN THI: TOÁN (Chuyên - NV2)
Ngày thi: 07/07/2012
(Thời gian làm bài 150 phút không kể thời gian giao đề)
--------------------------------------------------------------------------------
Câu 1: (2 điểm)
Chứng minh: S = 13 + 23 + 33 + .. + 503 chia hết cho 1275
Câu 2: (2 điểm)
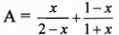
Cho số thực x thỏa mãn điều kiện 0 ≤ x ≤ 1. Tìm giá trị lớn nhất của biểu thức ![]()
Câu 3: (2 điểm)
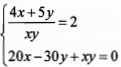
Giải hệ phương trình: 
Câu 4: (2 điểm)
Cho đường tròn (O) nội tiếp tam giác ABC. Trên cạnh AB và AC lần lượt lấy các điểm M và N sao cho BM.BC = BO2; CN.CB = CO2.
a. Chứng minh rằng 3 điểm M, O, N thẳng hàng
b. Tam giác ABC phải có điều kiện gì thì bốn điểm M, N, B, C cùng nằm trên một đường tròn.
Câu 5: (2 điểm)
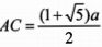
Cho ngũ giác đều ABCDE biết AB = a. Chứng minh rằng: ![]()
Download tài liệu để xem thêm chi tiết
Theo Nghị định 147/2024/ND-CP, bạn cần xác thực tài khoản trước khi sử dụng tính năng này. Chúng tôi sẽ gửi mã xác thực qua SMS hoặc Zalo tới số điện thoại mà bạn nhập dưới đây: