Hỗ trợ tư vấn
Tư vấn - Giải đáp - Hỗ trợ đặt tài liệu
Mua gói Pro để tải file trên Download.vn (không bao gồm tài liệu cao cấp) và trải nghiệm website không quảng cáo
Tìm hiểu thêm »
SỞ GIÁO DỤC VÀ ĐÀO TẠO
|
KỲ THI TUYỂN SINH LỚP 10 THPT
|
MÔN THI: TOÁN (Chuyên - NV1)
Ngày thi: 06/07/2012
(Thời gian làm bài 150 phút không kể thời gian giao đề)
--------------------------------------------------------------------------------
Câu 1: (2 điểm)
Chứng minh rằng có thể biểu diễn lập phương của một số nguyên dương bất kì dưới dạng hiệu của 2 số chính phương.
Câu 2: (2 điểm)
Cho a, b là hai số thực dương thỏa mãn: ![]()
Tính giá trị của biểu thức ![]()
Câu 3: (2 điểm)
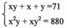
Cho x, y là hai số nguyên dương sao cho: 
Tính giá trị của biểu thức: M = x2 + y2
Câu 4: (2 điểm)
Cho tam giác ABC (AC > AB). Đường tròn tâm I nội tiếp tam giác đó tiếp xúc với AB, BC ở D, E. Gọi M, N theo thứ tự là trung điểm của AC, BC. Gọi K là giao điểm của MN và AI. Chứng minh rằng:
a) 4 điểm I, E, K, C cùng thuộc một đường tròn.
b) 3 điểm D, E, K thẳng hàng
Câu 5: (2 điểm)
Cho tam giác ABC ngoại tiếp đường tròn (O; r), cạnh BC tiếp xúc với đường tròn tại N. Vẽ đường kính MN của đường tròn (O;r), tia AM cắt BC tại G. Chứng minh BN = GC.
Download tài liệu để xem thêm chi tiết
Theo Nghị định 147/2024/ND-CP, bạn cần xác thực tài khoản trước khi sử dụng tính năng này. Chúng tôi sẽ gửi mã xác thực qua SMS hoặc Zalo tới số điện thoại mà bạn nhập dưới đây: