Hỗ trợ tư vấn
Tư vấn - Giải đáp - Hỗ trợ đặt tài liệu
Mua gói Pro để tải file trên Download.vn (không bao gồm tài liệu cao cấp) và trải nghiệm website không quảng cáo
Tìm hiểu thêm »
SỞ GIÁO DỤC VÀ ĐÀO TẠO
|
KỲ THI CHỌN HỌC SINH GIỎI CẤP THÀNH PHỐ LỚP 12
|
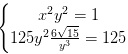
Bài 1.
Giải hệ phương trình: 
Bài 2.
Cho tam giác ABC có đường tròn nội tiếp I tiếp xúc các cạnh BC, AC lần lượt tại D, E. Đường tròn bàng tiếp góc A của tam giác tiếp xúc BC tại D và các phần kéo dài của đoạn thẳng CA, AB lần lượt tại G, H. Chứng minh rằng GF, DE và đường tròn ngoại tiếp tam giác BFH đồng quy.
Bài 3.
Tồn tại hay không đa thức f(x) bậc 2014 với các hệ số thực thỏa mãn f(x2 - 2013) chia hết cho f(x)?
Bài 4.
Cho dãy số {xn}∞n = 1 thỏa mãn:
![]()
Đặt:
![]()
Chứng minh rằng {xn}∞n = 1 hội tụ và tính
.
Bài 5.
Có n bạn nam và n bạn nữ xếp thành một hàng thẳng. Chứng minh rằng tổng khoảng cách giữa hai bạn cùng giới nhỏ hơn hoặc bằng tổng khoảng cách giữa hai bạn khác giới.
Download tài liệu để xem chi tiết.
Theo Nghị định 147/2024/ND-CP, bạn cần xác thực tài khoản trước khi sử dụng tính năng này. Chúng tôi sẽ gửi mã xác thực qua SMS hoặc Zalo tới số điện thoại mà bạn nhập dưới đây: