Hỗ trợ tư vấn
Tư vấn - Giải đáp - Hỗ trợ đặt tài liệu
Mua gói Pro để tải file trên Download.vn (không bao gồm tài liệu cao cấp) và trải nghiệm website không quảng cáo
Tìm hiểu thêm »
SỞ GIÁO DỤC VÀ ĐÀO TẠO
|
KỲ THI CHỌN HỌC SINH GIỎI LỚP 12
|
Bài 1:
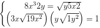
Giải hệ phương trình:
Bài 2:
Cho a, b, c là 3 số thực dương thỏa abc = 1. Tìm giá trị nhỏ nhất của biểu thức:
![]()
Bài 3:
1) Cho hai đường tròn (O1) và (O2) lần lượt có bán kính là R1, R2 (R1 < R2) tiếp xúc trong tại A. Gọi M là điểm di động trên (O1) (M khác A), tiếp tuyến của (O1) tại M cắt (O2) tại B và C. Gọi M’ (M’ khác A) là giao điểm của AM với (O2)
a) Chứng minh AM’ là đường phân giác của góc ABC.
b) Tìm quỹ tích tâm I của đường tròn nội tiếp tam giác ABC.
2) Cho đường tròn (C) có tâm I và đường kính AB, trên đoạn IB lấy điểm C (C khác I và B). Đường thẳng (d) vuông góc với AB tại C và H là điểm thay đổi trên (d). Đường thẳng AH cắt đường tròn (C) tại điểm D và đường tròn BH cắt đường tròn (C) tại E. Chứng minh đường thẳng DE luôn đi qua điểm cố định.
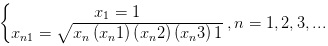
Bài 4: Cho dãy số (xn), n = 1, 2, 3,.. xác định bởi
![]()
a) Chứng minh: ![]()
b) Tìm: ![]()
Bài 5: Tìm tất cả hàm số liên tục f: R → R sao cho: f(x)f(x4) = 4026xx4
Download tài liệu để xem chi tiết.
Theo Nghị định 147/2024/ND-CP, bạn cần xác thực tài khoản trước khi sử dụng tính năng này. Chúng tôi sẽ gửi mã xác thực qua SMS hoặc Zalo tới số điện thoại mà bạn nhập dưới đây: