Đề thi học sinh giỏi lớp 12 THPT TP Đà Nẵng năm 2013 - 2014 Môn: Toán

SỞ GIÁO DỤC VÀ ĐÀO TẠO
TP. ĐÀ NẴNG


ĐỀ CHÍNH THỨC

KỲ THI CHỌN HỌC SINH GIỎI CẤP THÀNH PHỐ LỚP 12
NĂM HỌC: 2013 - 2014

MÔN THI: TOÁN
(Thời gian làm bài 180 phút, không kể thời gian giao đề)


Bài 1:
(5 điểm)

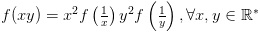
Tìm tất cả các hàm số f: R* → R sao cho:
Đề thi học sinh giỏi lớp 12 THPT TP Đà Nẵng năm 2013 - 2014

Bài 2: (5 điểm)

Cho n số nguyên dương x1, x2,..., xn đôi một khác nhau (n ≥ 2). Đặt A = {1, 2,..., n}.

Với mọi i thuộc A lấy Đề thi học sinh giỏi lớp 12 THPT TP Đà Nẵng năm 2013 - 2014Chứng minh nguyên với mọi k tự nhiên.

Bài 3: (5 điểm)

Cho đường thẳng d và điểm A không nằm trên d. Gọi H là hình chiếu của A trên d và K là trung điểm của AH. Hai đường tròn (M), (N) di động nhưng luôn tiếp xúc với d và tiếp xúc với nhau tại A. Chứng minh:

a) Phương tích của K với đường tròn đường kính MN không đổi.

b) Chứng minh đường tròn đường kính MN luôn tiếp xúc với đường tròn cố định.

Bài 4: (5 điểm)

Cho bảng kẻ ô vuông kích thước (2n) × (2n1). Hãy tìm giá trị lớn nhất của k sao cho k thoả mãn điều kiện: ta có thể tô màu k ô vuông đơn vị của bảng sao cho không có hai ô vuông đơn vị nào được tô mà có đỉnh chung.

Bài 5: (6 điểm)

Cho số nguyên tố p > 3. Gọi . Chứng minh:

Bài 6: (7 điểm)

Cho tam giác ABC và điểm C’ nằm trên đường thẳng AB. Chứng minh rằng:

a) Tồn tại duy nhất tam giác A’B'C’ đồng dạng với tam giác ABC mà các điểm A’ và B’ nằm lần lượt trên đường thẳng BC và AC.

b) Trực tâm của tam giác A’B'C’ không phụ thuộc vị trí của điểm C’ trên đường thẳng AB.

Bài 7: (7 điểm)

Cho (H) là một đa giác đều 24 cạnh. Mỗi đỉnh của (H) sẽ được tô bởi chỉ một trong hai màu xanh và đỏ. Khi đó, nếu (K) là một đa giác đều thoả mãn đồng thời hai điều kiện:

- Tập đỉnh của (K) là tập con của tập đỉnh của (H)
- Tất cả các đỉnh của (K) được tô bởi cùng một màu thì ta gọi (K) là một mẫu đơn sắc.

Hãy tính số cách tô màu các đỉnh của (H) sao cho không có mẫu đơn sắc nào được tạo ra.

Download tài liệu để xem chi tiết.

Chia sẻ bởi: 👨 Nguyễn Thu Ngân
Liên kết tải về
Tìm thêm: Toán 12
Xác thực tài khoản!

Theo Nghị định 147/2024/ND-CP, bạn cần xác thực tài khoản trước khi sử dụng tính năng này. Chúng tôi sẽ gửi mã xác thực qua SMS hoặc Zalo tới số điện thoại mà bạn nhập dưới đây:

Số điện thoại chưa đúng định dạng!
Số điện thoại này đã được xác thực!
Bạn có thể dùng Sđt này đăng nhập tại đây!
Lỗi gửi SMS, liên hệ Admin
Sắp xếp theo
👨
Đóng
Chỉ thành viên Download Pro tải được nội dung này! Download Pro - Tải nhanh, website không quảng cáo! Tìm hiểu thêm
Nhắn tin Zalo