Đề thi học sinh giỏi lớp 12 THPT TP Cần Thơ năm 2013 - 2014 Môn: Toán

SỞ GIÁO DỤC VÀ ĐÀO TẠO
TP. CẦN THƠ


ĐỀ CHÍNH THỨC

ĐỀ THI CHỌN HỌC SINH GIỎI LỚP 12
NĂM HỌC: 2013 - 2014

MÔN THI: TOÁN
(Thời gian làm bài 180 phút, không kể thời gian giao đề)


Câu 1:

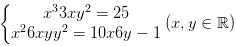
Giải hệ phương trình sau:
Đề thi học sinh giỏi lớp 12 THPT TP Cần Thơ năm 2013 - 2014

Câu 2:

Cho tam giác ABC có ba góc đều nhọn, AB < AC, AH là đường cao và AD là đường phân giác trong. Gọi E, F lần lượt là hình chiếu vuông góc của D trêm các cạnh AC và AB, M là giao điểm của BE và CF.

1. Chứng minh ba điểm A, M, H thẳng hàng.

2. Gọi K là giao điểm của EF và BC. Chứng minh:

3. Gọi N là giao điểm của BC với đường kính qua A của đường tròn ngoại tiếp tam giác ABC. Chứng minh:

Câu 3:

Cho a, b, c là ba số nguyên khác không và thỏa mãn a2bb2cc3a = 3abc (1)

1. Hãy chỉ ra một bộ số nguyên a, b, c đôi một khác nhau thỏa (1)

2. Chứng minh abc là lập phương của một số nguyên.

Câu 4:

Cho các đa thức P(x), Q(x) với hệ số thức thỏa mãn điều kiện P(x) = Q(x)Q(1 - x), với mọi x thuộc R. Biết P(0) = 0 và các hệ số của P(x) đều không âm. Tính P(P(2013)).

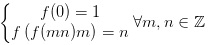
Câu 5:

Tìm tất cả các hàm số f: Z → Z thỏa mãn các điều kiện:
Đề thi học sinh giỏi lớp 12 THPT TP Cần Thơ năm 2013 - 2014

Câu 6:

Một bảng ô vuông không giới hạn số dòng, số cột và trên đó mới chỉ ghi hai số 1 và 3 vào hai ô khác nhau. Ta thực hiện trò chơi viết thêm số vào các ô vuông như sau: nếu trên bảng có hai số tự nhiên a và b thì được phép viết thêm số c = a + b + ab vào ô vuông còn trống trên bảng. Hỏi bằng cách đó trên bảng có thể xuất hiện được các số 2509 và 20132014 hay không? Giải thích tại sao?

Download tài liệu để xem chi tiết.

Chia sẻ bởi: 👨 Nguyễn Thu Ngân
Liên kết tải về
Tìm thêm: Toán 12
Xác thực tài khoản!

Theo Nghị định 147/2024/ND-CP, bạn cần xác thực tài khoản trước khi sử dụng tính năng này. Chúng tôi sẽ gửi mã xác thực qua SMS hoặc Zalo tới số điện thoại mà bạn nhập dưới đây:

Số điện thoại chưa đúng định dạng!
Số điện thoại này đã được xác thực!
Bạn có thể dùng Sđt này đăng nhập tại đây!
Lỗi gửi SMS, liên hệ Admin
Sắp xếp theo
👨
Đóng
Chỉ thành viên Download Pro tải được nội dung này! Download Pro - Tải nhanh, website không quảng cáo! Tìm hiểu thêm
Nhắn tin Zalo