Đề thi học sinh giỏi lớp 12 THPT tỉnh Thanh Hóa năm 2013 - 2014 Môn: Toán

SỞ GIÁO DỤC VÀ ĐÀO TẠO
THANH HÓA

Trường THPT Như Thanh I

ĐỀ CHÍNH THỨC

KỲ THI CHỌN HỌC SINH GIỎI LỚP 12
NĂM HỌC: 2013 - 2014

MÔN THI: TOÁN
(Thời gian làm bài 180 phút, không kể thời gian giao đề)
Ngày thi: 30/9/2013


Câu I (4,0 điểm).

Cho hàm số y = x3 - 3x2mx4 - m có đồ thị (Cm), với m là tham số.

1) Khảo sát sự biến thiên và vẽ đồ thị của hàm số đã cho khi m=3.

2) Đường thẳng d: y = -x3 cắt một đường cong bất kì (C) trong các đường cong tại ba điểm phân biệt A, I, B (theo thứ tự). Tiếp tuyến tại A và tiếp tuyến tại B của (C) lần lượt cắt đường cong này tại điểm thứ hai là M, N. Tìm tất cả các giá trị của m để tứ giác AMBN là hình thoi.

Câu II (4,0 điểm).

1) Giải phương trình:
Đề thi học sinh giỏi lớp 12 THPT tỉnh Thanh Hóa năm 2013 - 2014

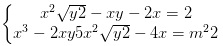
2) Giải hệ phương trình:
Đề thi học sinh giỏi lớp 12 THPT tỉnh Thanh Hóa năm 2013 - 2014

Câu III (4,0 điểm).

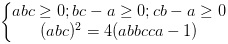
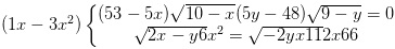
1) Tìm để hệ phương trình sau có nghiệm:
Đề thi học sinh giỏi lớp 12 THPT tỉnh Thanh Hóa năm 2013 - 2014

2) Tìm hệ số của x4 trong khai triển Đề thi học sinh giỏi lớp 12 THPT tỉnh Thanh Hóa năm 2013 - 2014.

Câu IV (6,0 điểm).

1) Trong mặt phẳng với hệ trục tọa độ Oxy, cho tam giác ABC trọng tâm G(1; 2). Phương trình đường tròn đi qua trung điểm của hai cạnh AB, AC và chân đường cao hạ từ đỉnh A đến cạnh BC là (x - 3)2(y2)2 = 25. Viết phương trình đường tròn ngoại tiếp tam giác ABC.

2) Cho hình chóp S.ABCD có đáy ABCD là hình chữ nhật, AB = 2a, tam giác SAB cân tại S và nằm trong mặt phẳng vuôn góc với mặt phẳng (ABCD). Gọi M là trung điểm của SD, mặt phẳng (ABM) vuông góc với mặt phẳng (SCD) và đường thẳng AM vuông góc với đường thẳng BD. Tính thể tích khối chóp SBCM và khoảng cách từ M đến mặt phẳng (SBC).

Câu V (2,0 điểm).

Cho là ba số dương thỏa mãn:
Đề thi học sinh giỏi lớp 12 THPT tỉnh Thanh Hóa năm 2013 - 2014

Tìm giá trị nhỏ nhất của biểu thức:
Đề thi học sinh giỏi lớp 12 THPT tỉnh Thanh Hóa năm 2013 - 2014

Download tài liệu để xem chi tiết.

Chia sẻ bởi:
Liên kết tải về
Tìm thêm: Toán 12
Xác thực tài khoản!

Theo Nghị định 147/2024/ND-CP, bạn cần xác thực tài khoản trước khi sử dụng tính năng này. Chúng tôi sẽ gửi mã xác thực qua SMS hoặc Zalo tới số điện thoại mà bạn nhập dưới đây:

Số điện thoại chưa đúng định dạng!
Số điện thoại này đã được xác thực!
Bạn có thể dùng Sđt này đăng nhập tại đây!
Lỗi gửi SMS, liên hệ Admin
Sắp xếp theo
👨
Đóng
Chỉ thành viên Download Pro tải được nội dung này! Download Pro - Tải nhanh, website không quảng cáo! Tìm hiểu thêm
Nhắn tin Zalo