Đề thi học sinh giỏi lớp 12 THPT tỉnh Bắc Giang năm 2013 - 2014 Môn: Toán

SỞ GIÁO DỤC VÀ ĐÀO TẠO
BẮC GIANG


ĐỀ CHÍNH THỨC

ĐỀ THI CHỌN HỌC SINH GIỎI LỚP 12
NĂM HỌC: 2013 - 2014

MÔN THI: TOÁN
(Thời gian làm bài 180 phút, không kể thời gian giao đề)


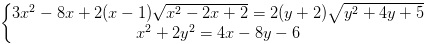
Câu 1
(4 điểm)

Giải hệ phương trình:
Đề thi học sinh giỏi lớp 12 THPT tỉnh Bắc Giang năm 2013 - 2014

Câu 2 (4 điểm)

Cho ba số dương a,b,c thỏa mãn ab + bc + ca = 3. Chứng minh rằng:
Đề thi học sinh giỏi lớp 12 THPT tỉnh Bắc Giang năm 2013 - 2014

Câu 3 (4 điểm)

Cho tam giác ABC có góc ABC < góc BAC. Trên đường thẳng BC lấy điểm D thỏa mãn góc CAD = góc ABC. Đường tròn (O) bất kì đi qua B, D cắt AB, AD lần lượt tại M, N. Kẻ hai tiếp tuyến AP, AQ với (O), P, Q thuộc (O). Gọi G là giao điểm của BN và DM, gọi I là trung điểm của AG.

a. Chứng minh rằng: P,Q,G thẳng hàng.

b. Chứng minh rằng: CI vuông góc với AG.

Câu 4 (4 điểm)

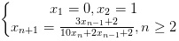
Cho dãy số (xn) thỏa mãn:
Đề thi học sinh giỏi lớp 12 THPT tỉnh Bắc Giang năm 2013 - 2014

Chứng minh rằng dãy (xn) có giới hạn và tìm limxn

Câu 5 (4 điểm)

Tìm cặp các số nguyên (a,b) sao cho là một số nguyên.

Download tài liệu để xem chi tiết.

Chia sẻ bởi: 👨 Nguyễn Thu Ngân
Liên kết tải về
Tìm thêm: Toán 12
Xác thực tài khoản!

Theo Nghị định 147/2024/ND-CP, bạn cần xác thực tài khoản trước khi sử dụng tính năng này. Chúng tôi sẽ gửi mã xác thực qua SMS hoặc Zalo tới số điện thoại mà bạn nhập dưới đây:

Số điện thoại chưa đúng định dạng!
Số điện thoại này đã được xác thực!
Bạn có thể dùng Sđt này đăng nhập tại đây!
Lỗi gửi SMS, liên hệ Admin
Sắp xếp theo
👨
Đóng
Chỉ thành viên Download Pro tải được nội dung này! Download Pro - Tải nhanh, website không quảng cáo! Tìm hiểu thêm
Nhắn tin Zalo