Đề cương ôn tập môn Toán lớp 8 Tài liệu ôn tập môn Toán lớp 8

Đề cương ôn tập môn Toán lớp 8

Đề cương ôn tập môn Toán lớp 8 là tài liệu tổng hợp kiến thức và các dạng bài tập bài tập trong chương trình học môn Toán lớp 8. Với tài liệu này sẽ giúp các em học sinh củng cố kiến thức đã học và ôn luyện để lên lớp 9 một cách hiệu quả. Các thầy cô giáo có thể sử dụng tài liệu để hướng dẫn các em ôn tập hoặc các em học sinh sử dụng tại nhà làm tài liệu tự học. Sau đây, mời quý thầy cô và các em cùng tải về trọn bộ tài liệu để tham khảo và ôn luyện nhé.

Chủ đề 1: Nhân đa thức.

A. Mục tiêu:

Nắm được quy tắc nhân đơn thức với đa thức, nhân đa thức với đa thức.

Học sinh biết trình bày phép nhân đa thức theo các cách khác nhau.

B. Thời lượng: 3 tiết (từ 1 đến 3)

C. Thực hiện:

Tiết 1:

Câu hỏi

1: Phát biểu quy tắc nhân đơn thức với đa thức.

2: Phát biểu quy tắc nhân đa thức với đa thức.

* Bài tập về nhân đơn thức với đa thức.

Bài 1: Thực hiện phép nhân.

a. (-2x2).(x3 - 3x2 - x + 1)

b. (-10x3 + 2/5 y - 1/2 z).(-1/2 xy)

Giải:

a. (-2x2).(x3 - 3x2 - x + 1) = -2x5 + 6x4 + 2x3 - 2x2

b. (-10x3 + 2/5 y - 1/2 z).(-1/2 xy) = 5x4y - 1/5 xy2 + 1/6 xyz

Bài 2: Chứng tỏ rằng các đa thức không phụ thuộc vào biến.

a. x(2x + 1) - x2(x + 2) + (x3 - x + 3)

b. 4(x - 6) - x2(2 + 3x) + x(5x - 4) + 3x2(x - 1)

Giải:

a. x(2x + 1) - x2(x + 2) + (x3 - x + 3) = 2x2 + x - x3 - 2x2 + x3 - x + 3 = 3

Vậy đa thức không phụ thuộc vào biến x.

b. 4(x - 6) - x2(2 + 3x) + x(5x - 4) + 3x2(x - 1) = 4x - 24 - 2x2 - 3x3 + 5x2 - 4x + 3x3 - 3x2 = -24

Vậy đa thức không phụ thuộc vào biến x.

Bài 3: Tính giá trị của biểu thức sau khi thực hiện các phép toán

a. 3x(10x2 - 2x + 1) - 6x(5x2 - x - 2) với x = 15

b. 5x(x - 4y) - 4y(y - 5x) với x = -1/5; y = -1/2

c. 6xy(xy - y2) - 8x2(x - y2) + 5y2(x2 - xy) với x = 1/2; y = 2

Giải:

a. 3x(10x2 - 2x + 1) - 6x(5x2 - x - 2)

= 30x3 - 6x2 + 3x - 30x3 + 6x2 + 12x = 15x

Thay x = 15 ta có 15x = 15.15 = 225

b. 5x(x - 4y) - 4y(y - 5x)

= 5x2 - 20xy - 4y2 + 20xy

= 5x2 - 4y2

Thay x = -1/5; y = -1/2 ta có 5.(-1/5)2 - 4(-1/2)2 = 1/5 - 1 = -4/5

c. 6xy(xy - y2) - 8x2(x - y2) + 5y2(x2 - xy)

= 6x2y2 - 6xy3 - 8x3 + 8x2y2 + 5x2y2 - 5xy3

= 19x2y2 - 11xy3 - 8x3

Thay x = 1/2; y = 2 ta có: 19.(1/2)2.22 - 11.(1/2).23 - 8.(1/2)3 = 19 - 44 -1 = -26

Bài 4: Điền vào chỗ dấu * để được đẳng thức đúng.

a. 36x3y4 - * = *(4x2y - 2y3)

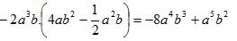
b) -2a3b.(4ab2 + *) = * + a5b2

Giải:

a. Vì *.4x2y = 36x3y4 = 9xy3.4x2y nên dấu * ở vỊ phải là 9xy3

Vì * ở vế trái là tích của 9xy3 với 2y3 nên phải điền vào dấu * này biểu thức 9xy3.2y3 = 18 xy6 vậy ta có đẳng thức đúng.

b. Lý luận tương tự câu a.

Đẳng thức đúng là: Đề cương ôn tập môn Toán lớp 8

Bài 5: Chứng minh các đẳng thức sau:

a. a.(b - c) - b.(a + c) + c.(a - b) = -2ac.

b. a(1 - b) + a(a2 - 1) = a.(a2 - b)

c. a.(b - x) + x.(a + b) = b.(a + x)

Giải:

a. VT = a.(b - c) - b.(a + c) + c.(a - b)

= ab - ac - ab - bc + ac - bc

= -2bc = VP đpcm

b. VT = a.(1 - b) + a.(a2 - 1)

= a - ab + a3 - a

= a3 - ab = a.(a2 - b) = VP đpcm.

c. VT = a.(b - x) + x.(a + b)

= ab - ax + ax + xb

= ab + xb = b(x + a) = VP đpcm

Bài 6: Tìm x biết

a. 5x.(12x + 7) - 3x(20x - 5) = - 100

b. 0,6x(x - 0,5) - 0,3x(2x + 1,3) = 0,138

Giải:

a. 5x.(12x + 7) - 3x(20x - 5) = - 100

↔ 60x2 + 35x - 60x2 + 15x = - 100

↔ 50x = - 100

→ x = - 2

b. 0,6x(x - 0,5) - 0,3x(2x + 1,3) = 0,138

↔ 0,6x2 - 0,3x - 0,6x2 - 0,39x = 0,138

↔ - 0,6x = 0,138

↔ x = 0,138 : (- 0,6)

↔ x = - 0,2

* Bài tập về nhân đa thức với đa thức

Bài 1: Làm tính nhân.

  1. (x2 + 2)(x2 + x+ 1)
  2. (2a3 - 1 + 3a)(a2 - 5 + 2a)

Giải:

a. (x2 + 2)(x2 + x+ 1)

= x4 + x3 + x2 + 2x2 + 2x + 2

= x4 + x3 + 3x2 + 2x + 2

b. (2a3 - 1 + 3a)(a2 - 5 + 2a)

= 2a5 - 10a3 + 4a4 - a2 + 5 - 2a + 3a3 - 15a + 6a2

= 2a5 + 4a4 - 7a3 + 5a2 - 17a + 5

Tài liệu vẫn còn, mời các bạn tải về để xem tiếp

Chia sẻ bởi: 👨 Trịnh Thị Lương
Liên kết tải về

Chọn file cần tải:

Tìm thêm: Toán 8 Toán 9
Xác thực tài khoản!

Theo Nghị định 147/2024/ND-CP, bạn cần xác thực tài khoản trước khi sử dụng tính năng này. Chúng tôi sẽ gửi mã xác thực qua SMS hoặc Zalo tới số điện thoại mà bạn nhập dưới đây:

Số điện thoại chưa đúng định dạng!
Số điện thoại này đã được xác thực!
Bạn có thể dùng Sđt này đăng nhập tại đây!
Lỗi gửi SMS, liên hệ Admin
Sắp xếp theo
👨
Đóng
Chỉ thành viên Download Pro tải được nội dung này! Download Pro - Tải nhanh, website không quảng cáo! Tìm hiểu thêm
Nhắn tin Zalo