Hỗ trợ tư vấn
Tư vấn - Giải đáp - Hỗ trợ đặt tài liệu
Mua gói Pro để tải file trên Download.vn (không bao gồm tài liệu cao cấp) và trải nghiệm website không quảng cáo
Tìm hiểu thêm »Tổng hợp 80 bài tập trắc nghiệm luyện tập môn Toán chuyên đề hàm số là tài liệu tham khảo dành cho thầy cô và các bạn học sinh cùng tham khảo. Ngoài bài tập trắc nghiệm tài liệu còn kèm theo lời giải chi tiết để các e ôn tập. Hy vọng đây là tài liệu bổ ích sẽ giúp các em học sinh củng cố kiến thức của mình một cách tốt nhất.



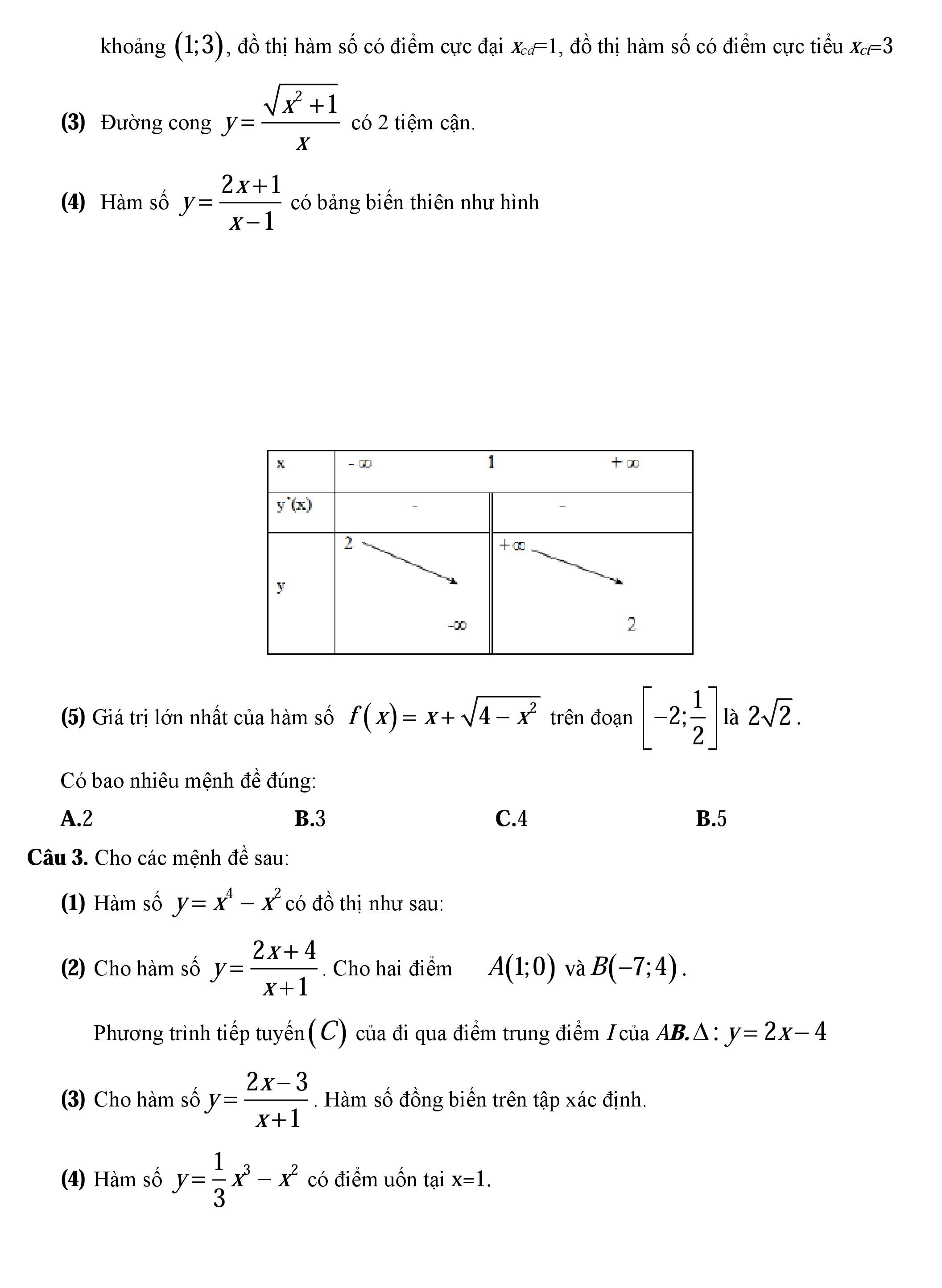
Download file tài liệu để xem thêm nội dung chi tiết.
Theo Nghị định 147/2024/ND-CP, bạn cần xác thực tài khoản trước khi sử dụng tính năng này. Chúng tôi sẽ gửi mã xác thực qua SMS hoặc Zalo tới số điện thoại mà bạn nhập dưới đây: