Hỗ trợ tư vấn
Tư vấn - Giải đáp - Hỗ trợ đặt tài liệu
Mua gói Pro để tải file trên Download.vn và trải nghiệm website không quảng cáo
Tìm hiểu thêm »Bài tập cuối tuần Toán lớp 5 Tuần 2 - Có đáp án sách Kết nối tri thức với cuộc sống, mang tới các dạng bài tổng hợp chi tiết cho từng dạng Toán, bám sát chương trình học trên lớp. Qua đó, giúp các em ôn tập thật tốt kiến thức trong tuần vừa qua.
Đồng thời, cũng giúp thầy cô tham khảo để xây dựng phiếu bài tập cuối tuần lớp 5 cho học sinh của mình theo chương trình mới. Ngoài ra, có thể tham khảo trọn bộ Bài tập cuối tuần Toán 5 Kết nối tri thức. Mời thầy cô và các em cùng theo dõi bài viết dưới đây của Download.vn:
PHẦN I. TRẮC NGHIỆM
Khoanh tròn vào chữ cái đặt trước câu trả lời đúng:
Câu 1. Phân số nào dưới đây là phân số thập phân?
A.
\(\frac{10}{15}\)
B.
\(\frac{41}{125}\)
C.
\(\frac{5}{70}\)
D.
\(\frac{21}{10}\)
Câu 2. Phân số nào dưới đây không phải phân số thập phân?
A.
\(\frac{25}{100}\)
B.
\(\frac{3}{5}\)
C.
\(\frac{38}{1000}\)
D.
\(\frac{7}{10}\)
Câu 3. Điền số thích hợp vào dấu hỏi chấm (?)
\(\frac{2}{5}+\frac{3}{10}=\frac{?}{10}\)
A. 8
B. 5
C. 6
D. 7
Câu 4. Phân số nào dưới đây có thể được viết thành phân số thập phân?
A.
\(\frac{3}{7}\)
B.
\(\frac{7}{25}\)
C.
\(\frac{8}{15}\)
D.
\(\frac{14}{95}\)
Câu 5. Phân số nào dưới đây lớn hơn 1?
A.
\(\frac{2}{5}\)
B.
\(\frac{6}{7}\)
C.
\(\frac{4}{4}\)
D.
\(\frac{3}{2}\)
Câu 6. Điền dấu >, <, = thích hợp vào chỗ chấm:
\(\frac{8}{9} \ldots \ldots \ldots . \frac{43}{54}\)
A. >
B. <
C. =
Câu 7. Một miếng bìa hình chữ nhật có chiều dài
\(\frac{5}{2}\)m, chiều rộng
\(\frac{4}{3}\)m. Người ta chia miếng bìa thành 4 phần bằng nhau. Vậy diện tích của mỗi miếng bìa đó là:
A.
\(\frac{10}{3} \mathrm{~m}^2\)
B.
\(\frac{5}{3} \mathrm{~m}^2\)
C.
\(\frac{5}{6} \mathrm{~m}^2\)
D.
\(\frac{11}{6} \mathrm{~m}^2\)
Câu 8. Trong các phân số:
\(\frac{2}{5} ; \frac{4}{125} ; \frac{3}{14} ; \frac{6}{45} ; \frac{9}{8}\). Có bao nhiêu phân số có thể viết được thành phân số thập phân.
A. 3 phân số
B. 2 phân số
C. 4 phân số
D. 1 phân số
PHẦN II. TỰ LUẬN
Bài 1. Trong các phân số:
\(\frac{3}{70} ; \frac{59}{100} ; \frac{7}{200} ; \frac{3}{10} ; \frac{4}{1000} ; \frac{67}{120}\). Phân số nào là phân số thập phân?
Bài 2. Điền số thích hợp vào chỗ chấm:
a)
\(\frac{2}{5}=\frac{2 \times \ldots \ldots \ldots \ldots}{5 \times \ldots \ldots \ldots \ldots}=\frac{\ldots \ldots \ldots}{10}\)
b)
\(\frac{7}{125}=\frac{7 \times \ldots \ldots \ldots}{125 \times \ldots \ldots \ldots \ldots}=\frac{\ldots \ldots}{1000}\)
c)
\(\frac{35}{5000}=\frac{35: \ldots \ldots \ldots}{5000: \ldots \ldots}=\frac{\ldots \ldots}{1000}\)
d)
\(\frac{48}{800}=\frac{48: \ldots \ldots \ldots}{800: \ldots \ldots}=\frac{\ldots \ldots}{100}\)
Bài 3. Viết các phân số
\(\frac{2}{5} ; \frac{3}{8} ; \frac{7}{125} ; \frac{7}{4} ; \frac{49}{50}\) thành phân số thập phân
Bài 4: Cho các phân số:
\(\frac{2}{3} ; \frac{3}{4} ; \frac{7}{6} ; \frac{11}{12} ; \frac{17}{24}\)
a) Sắp xếp các phân số theo thứ tự từ bé đến lớn:
………………………………………………………………………………………
b) Sắp xếp các phân số theo thứ tự từ lớn đến bé:
………………………………………………………………………………………
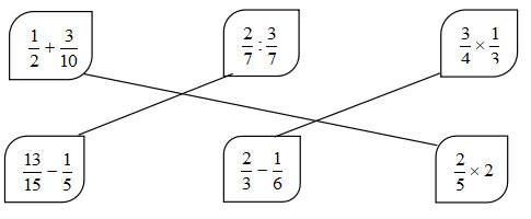
Bài 5. Em hãy nối các phép tính có cùng kết quả:

Bài 6. Tính giá trị của biểu thức:
a)
\(\frac{4}{5}+\frac{5}{9}-\frac{4}{45}\)
b)
\(\frac{7}{18}-\left(\frac{1}{9}+\frac{1}{6}\right)\)
c)
\(3-\frac{4}{9}+\frac{1}{3}\)
PHẦN I. TRẮC NGHIỆM
|
Câu |
Câu 1 |
Câu 2 |
Câu 3 |
Câu 4 |
Câu 5 |
Câu 6 |
Câu 7 |
Câu 8 |
|
Đáp án |
D |
B |
D |
B |
D |
A |
C |
A |
PHẦN II. TỰ LUẬN
Bài 1.
Vì: Các phân số thập phân có mẫu là 10, 100, 100, ......
Nên: Trong các phân số đã cho, phân số thập phân là:
\(\frac{59}{100} ; \frac{3}{10} ; \frac{4}{1000}\)
Bài 2.
a)
\(\frac{2}{5}=\frac{2 \times 2}{5 \times 2}=\frac{4}{10}\)
b)
\(\frac{7}{125}=\frac{7 \times 8}{125 \times 8}=\frac{56}{1000}\)
c)
\(\frac{35}{5000}=\frac{35: 5}{5000: 5}=\frac{7}{1000}\)
d)
\(\frac{48}{800}=\frac{48: 8}{800: 8}=\frac{6}{100}\)
Bài 3.
\(\begin{aligned}
& \frac{2}{5}=\frac{2 \times 2}{5 \times 2}=\frac{4}{10} \\
& \frac{3}{8}=\frac{3 \times 125}{8 \times 125}=\frac{375}{1000} \\
& \frac{7}{125}=\frac{7 \times 8}{125 \times 8}=\frac{56}{1000}
\end{aligned}\)
\(\begin{aligned}
& \frac{7}{4}=\frac{7 \times 25}{4 \times 25}=\frac{175}{100} \\
& \frac{49}{50}=\frac{49 \times 2}{50 \times 2}=\frac{98}{100}
\end{aligned}\)
Bài 4.
Quy đồng mẫu số các phân số:
\(\frac{2}{3}=\frac{2 \times 8}{3 \times 8}=\frac{16}{24}\)
\(\frac{3}{4}=\frac{3 \times 6}{4 \times 6}=\frac{18}{24}\)
\(\frac{7}{6}=\frac{7 \times 4}{6 \times 4}=\frac{28}{24}\)
\(\frac{11}{12}=\frac{11 \times 2}{12 \times 2}=\frac{22}{24}\)
Giữ nguyên
\(\frac{17}{24}\)
So sánh các phân số:
\(\frac{16}{24}<\frac{17}{24}<\frac{18}{24}<\frac{22}{24}<\frac{28}{24}\)
a) Sắp xếp các phân số theo thứ tự từ bé đến lớn là:
\(\frac{2}{3} ; \frac{17}{24} ; \frac{3}{4} ; \frac{11}{12} ; \frac{7}{6}\)
b) Sắp xếp các phân số theo thứ tự từ lớn đến bé là:
\(\frac{7}{6} ; \frac{11}{12} ; \frac{3}{4} ; \frac{17}{24} ; \frac{2}{3}\)
Bài 5:

Bài 6:
a)
\(\frac{4}{5}+\frac{5}{9}-\frac{4}{45}=\frac{36}{45}+\frac{25}{45}-\frac{4}{45}=\frac{57}{45}\)
b)
\(\frac{7}{18}-\left(\frac{1}{9}+\frac{1}{6}\right)=\frac{7}{18}-\left(\frac{2}{18}+\frac{3}{18}\right)=\frac{7}{18}-\frac{5}{18}=\frac{2}{18}=\frac{1}{9}\)
c)
\(3-\frac{4}{9}+\frac{1}{3}=\frac{27}{9}-\frac{4}{9}+\frac{3}{9}=\frac{26}{9}\)
Theo Nghị định 147/2024/ND-CP, bạn cần xác thực tài khoản trước khi sử dụng tính năng này. Chúng tôi sẽ gửi mã xác thực qua SMS hoặc Zalo tới số điện thoại mà bạn nhập dưới đây:
Mở khóa quyền truy cập vào hàng ngàn tài liệu độc quyền và nhận hỗ trợ nhanh chóng từ đội ngũ của chúng tôi.