Hỗ trợ tư vấn
Tư vấn - Giải đáp - Hỗ trợ đặt tài liệu
Mua gói Pro để tải file trên Download.vn và trải nghiệm website không quảng cáo
Tìm hiểu thêm »Giải Toán lớp 3 trang 67 sách Chân trời sáng tạo tập 1 giúp các em học sinh lớp 3 tham khảo, xem gợi ý giải phần Thực hành, Luyện tập của bài Bảng nhân 9 chủ đề Phép nhân, phép chia trong phạm vi 1000.
Giải SGK Toán 3 trang 67 Chân trời sáng tạo tập 1 được biên soạn chi tiết, bám sát nội dung trong sách giáo khoa, giúp các em củng cố kiến thức thật tốt. Đồng thời, cũng giúp thầy cô tham khảo để soạn giáo án cho học sinh của mình theo chương trình mới. Vậy mời thầy cô và các em cùng theo dõi bài viết dưới đây của Download.vn:
Số?

Gợi ý đáp án:
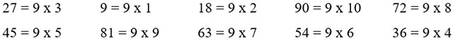
Em được dãy số: 9; 18; 27; 36; 45; 54; 63; 72; 81; 90
Các số điền vào dấu ? theo thứ tự từ trái sang phải lần lượt là: 36; 45; 63; 81
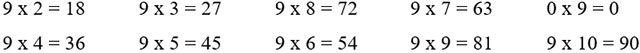
Đọc phép nhân trong bảng nhân 9 có tích là mỗi số dưới đây:

Gợi ý đáp án:
Em viết các phép tính theo bảng nhân 9:

Tính nhẩm:

Gợi ý đáp án:
Em sử dụng bảng nhân 9.

Số?
Vượn mắt kính là loài vượn nhỏ nhất thế giới. Tuy nhiên, vượn mắt kính có thể nhảy xa gấp 70 lần chiều dài thân nó.
Một con vượn mắt kính có chiều dài thân là 9 cm, con vượn này có thể nhảy xa .?. cm.
Gợi ý đáp án:
Vượn mắt kính có thể nhảy xa gấp 70 lần chiều dài thân nó. Chiều dài thân của con vượn mắt kính là 9 cm.
Con vượn này có thể nhảy xa:
9 × 70 = 630 (cm)
Đáp số: 630cm
Theo Nghị định 147/2024/ND-CP, bạn cần xác thực tài khoản trước khi sử dụng tính năng này. Chúng tôi sẽ gửi mã xác thực qua SMS hoặc Zalo tới số điện thoại mà bạn nhập dưới đây:
Mở khóa quyền truy cập vào hàng ngàn tài liệu độc quyền và nhận hỗ trợ nhanh chóng từ đội ngũ của chúng tôi.