Hỗ trợ tư vấn
Tư vấn - Giải đáp - Hỗ trợ đặt tài liệu
Mua gói Pro để tải file trên Download.vn (không bao gồm tài liệu cao cấp) và trải nghiệm website không quảng cáo
Tìm hiểu thêm »Giải Toán lớp 3 trang 64 sách Chân trời sáng tạo tập 1 giúp các em học sinh lớp 3 tham khảo, xem gợi ý giải phần Thực hành, Luyện tập của bài Bảng nhân 8 chủ đề Phép nhân, phép chia trong phạm vi 1000.
Giải SGK Toán 3 trang 64 Chân trời sáng tạo tập 1 được biên soạn chi tiết, bám sát nội dung trong sách giáo khoa, giúp các em củng cố kiến thức thật tốt. Đồng thời, cũng giúp thầy cô tham khảo để soạn giáo án cho học sinh của mình theo chương trình mới. Vậy mời thầy cô và các em cùng theo dõi bài viết dưới đây của Download.vn:
Số?

Gợi ý đáp án:
Em được dãy số: 8; 16; 24; 32; 40; 48; 56; 64; 72; 80
Các số điền vào dấu ? theo thứ tự từ trái sang phải lần lượt là: 32; 40; 56; 72
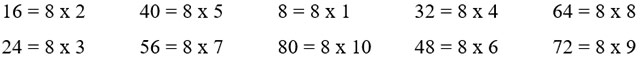
Đọc phép nhân trong bảng nhân 8 có tích là mỗi số dưới đây:

Gợi ý đáp án:

Hs tự đọc theo hướng dẫn của GV
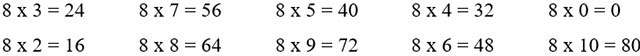
Tính nhẩm:

Gợi ý đáp án:

Mỗi chiếc xe có 18 bánh xe. Hỏi 8 chiếc xe như thế có bao nhiêu bánh xe?
Gợi ý đáp án:
8 chiếc xe như thế có số bánh xe là:
8 x 18 = 144 (bánh)
Đáp số: 144 bánh xe
Theo Nghị định 147/2024/ND-CP, bạn cần xác thực tài khoản trước khi sử dụng tính năng này. Chúng tôi sẽ gửi mã xác thực qua SMS hoặc Zalo tới số điện thoại mà bạn nhập dưới đây: