Hỗ trợ tư vấn
Tư vấn - Giải đáp - Hỗ trợ đặt tài liệu
Mua gói Pro để tải file trên Download.vn và trải nghiệm website không quảng cáo
Tìm hiểu thêm »Giải Toán lớp 3 trang 65 sách Chân trời sáng tạo tập 1 giúp các em học sinh lớp 3 tham khảo, xem gợi ý giải phần Luyện tập của bài Bảng chia 8 chủ đề Phép nhân, phép chia trong phạm vi 1000.
Giải SGK Toán 3 trang 65 Chân trời sáng tạo tập 1 được biên soạn chi tiết, bám sát nội dung trong sách giáo khoa, giúp các em củng cố kiến thức thật tốt. Đồng thời, cũng giúp thầy cô tham khảo để soạn giáo án cho học sinh của mình theo chương trình mới. Vậy mời thầy cô và các em cùng theo dõi bài viết dưới đây của Download.vn nhé:
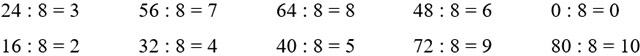
Tính nhẩm:

Gợi ý đáp án:

Đặt tính rồi tính:
a) 57 : 8
b) 89 : 8
c) 70 : 8
Gợi ý đáp án:

Số?
Quan sát hình ảnh bánh chưng.

a) Cái bánh chưng này được chia thành .?. miếng bằng nhau.
b) Thoa ăn 1 miếng, vậy Thoa đã ăn
\(\frac{1}{?}\) cái bánh.
Gợi ý đáp án:
a) Quan sát hình ảnh bánh chưng, em được có 8 phần bằng nhau.
Số điền vào dấu ? là 8.
b) Thoa ăn 1 miếng, vậy Thoa đã ăn
\(\frac{1}{8}\) cái bánh.
Theo Nghị định 147/2024/ND-CP, bạn cần xác thực tài khoản trước khi sử dụng tính năng này. Chúng tôi sẽ gửi mã xác thực qua SMS hoặc Zalo tới số điện thoại mà bạn nhập dưới đây:
Mở khóa quyền truy cập vào hàng ngàn tài liệu độc quyền và nhận hỗ trợ nhanh chóng từ đội ngũ của chúng tôi.