Hỗ trợ tư vấn
Tư vấn - Giải đáp - Hỗ trợ đặt tài liệu
Mua gói Pro để tải file trên Download.vn (không bao gồm tài liệu cao cấp) và trải nghiệm website không quảng cáo
Tìm hiểu thêm »Cùng tham khảo: Đề thi Violympic Toán lớp 8 vòng 13 năm 2016 - 2017. Đề thi gồm có 3 bài với nội dung bám sát chương trình học, được trình bày khoa học và logic. Hy vọng, đây sẽ là để thi hay giúp các bạn ôn thi tốt hơn.
Đề thi Violympic Toán lớp 6 vòng 13 năm 2016 - 2017
Bài 1: Bức tranh bí ẩn
Câu 1: Giá trị của (x2 – 4)/(x2 – 2x) khi x = 0,2
Câu 2: Giá trị của biểu thức P = (32016 + 32016)/(32015 + 32017)
Câu 3: ![]()
Câu 4: Giá trị của x thỏa mãn 8/24 = 4/(x – 3)
Câu 5: Giá trị của biểu thức (3x + y)(y - 3x) + 9x2 khi x = -2016 và y = 10
Câu 6: Số dư khi chia đa thức 3x3 - x2 + x - 1 cho 2 - x
Câu 7: Giá trị của 3(x2 - y2) biết x + y = 1 và x - y = 3
Câu 8: Giá trị của a + b biết (x + a)(x + 8) = x2 + bx + 24 với mọi x
Câu 9: Giá trị lớn nhất của đa thức -2x2 + 4xy - 6y2 - 4y + 5

Bài 2: Mười hai con giáp
Câu 1: Biết số nguyên x thỏa mãn 3x + 1 là số chẵn. Khi đó trong các số sau số nào là số lẻ?
A) x + 5
B) 7x + 10
C) x - 13
D) 2x
Câu 2: Cho ABCD là một hình chữ nhật. Trên cạnh AB lấy điểm E sao cho tam giác DEC có góc DEC = 900, DE = 3 và EC = 4. Khi đó độ dài của DA là
A) 1,8
B) 2,6
C) 2,4
D) 3,2
Câu 3: Cho hình vuông ABCD gọi M là trung điểm của cạnh AD. Nếu diện tích tam giác MDC là 100cm2 thì diện tích của hình vuông ABCD là:...
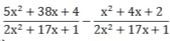
Câu 4: Thực hiện phép tính
ta được kết quả:...
Câu 5: ABCD là một hình vuông. Gọi trung điểm AB, CD lần lượt là M và N. Nếu chu vi của hình chữ nhật AMND là 36cm. Khi đó diện tích của hình vuông ABCD là:...
Câu 6: Cho ABCD là hình vuông có AB = x + 16 (cm) và BC = 3x (cm). Khi đó chu vi của hình vuông đó là:... cm
Câu 7: Cho xy = x + y. Giá trị của biểu thức A = (x3 + y3 - x3y3)2 + 27x6y6 là:...
Câu 8: Cho tam giác PQT cân tại P, lấy điểm R và S trên cạnh QT sao cho QR = ST (R nằm giữa Q và S). Biết ∠T = 620, ∠RPS = 340. Số đo của góc QPR là:...
Câu 9: Cho tam giác ABC cân tại A có ...
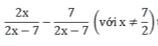
Câu 10: Thực hiện phép tính
ta thu được kết quả là:...
AB = 39cm. Trong tam giác ABC dựng tam giác MBC đều có cạnh là 30cm. Khi đó diện tích tam giác AMB (lam tròn đến hàng đơn vị) là:...
A) 135
B) 75
C) 68
D) 50
Bài 3: Đừng để điểm rơi
Câu 1: Trên đoạn thẳng AB lấy điểm M, trên cùng nửa mặt phẳng bờ AB dựng ΔAMC đều và ΔMDB cân tại D. Biết ∠B = 400 khi đó số đo của góc CMD là:...
Câu 2: Giá trị của biểu thức A = 232 + 46.57 + 572 là:...
Câu 3: Một hình chữ nhật có diện tích là 192cm2 và một cạnh là 24cm. Khi đó chu vi của hình chữ nhật đó là:...
Câu 4: Nếu y = 2x + 3 và 4y = 5x + 6 thì giá trị của x là:...
Câu 5: Nếu (x – y)/(z – y) = -10 (y ≠ z) thì giá trị của biểu thức (x – z)/(y – z) là ...
Câu 6: Nếu 2x2 = 9x - 4 và x ≠ 4 thì giá trị của 2x là:...
Câu 7: Nếu 2x = 2.1612 + 2.816 thì giá trị của x là:...
Câu 8: Nếu m, n, p là các số nguyên dương thỏa mãn
. Giá trị của n là:...
Câu 9: Cho tam giác ABC cân tại C có AC = CB = 7cm. Lấy điểm D trên cạnh AB sao cho AD = 8cm, CD = 3cm và ∠CDA = 600. Độ dài BD là:...
Câu 10: Cho hai số nguyên dương a và b thỏa mãn ab = 2010. Nếu a > b thì giá trị nhỏ nhất của a - b là:...
Bài 1
| Câu 1: 11 Câu 2: 3/5 Câu 3: 8 Câu 4: 15 Câu 5: 100 |
Câu 6: 21 Câu 7: 27 Câu 8: 14 Câu 9: 6 |
Bài 2
| Câu 1: B Câu 2: C Câu 3: 400 Câu 4: 1 Câu 5: 144 |
Câu 6: 96 Câu 7: 112896 Câu 8: 11 Câu 9: B Câu 10: 2 |
Bài 3
| Câu 1: 80 Câu 2: 6400 Câu 3: 64 Câu 4: -2 Câu 5: 11 |
Câu 6: 1 Câu 7: 50 Câu 8: 1 Câu 9: 5 Câu 10: 37 |
Theo Nghị định 147/2024/ND-CP, bạn cần xác thực tài khoản trước khi sử dụng tính năng này. Chúng tôi sẽ gửi mã xác thực qua SMS hoặc Zalo tới số điện thoại mà bạn nhập dưới đây: