Hỗ trợ tư vấn
Tư vấn - Giải đáp - Hỗ trợ đặt tài liệu
Mua gói Pro để tải file trên Download.vn (không bao gồm tài liệu cao cấp) và trải nghiệm website không quảng cáo
Tìm hiểu thêm »
SỞ GIÁO DỤC VÀ ĐÀO TẠO
|
KỲ THI TUYỂN SINH VÀO LỚP 10 HỆ CÔNG LẬP
|
Câu 1: (2 điểm)
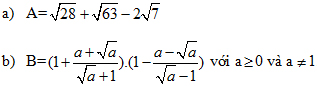
Bài 1: Rút gọn các biểu thức sau:

Bài 2: Giải phương trình sau: ![]()
Câu 2: (2điểm)
Cho hàm số (P): y = x2
a) Vẽ đồ thị hàm số trên mặt phẳng tọa độ Oxy.
b) Tìm tọa độ giao điểm của đồ thị hàm số (P) với đường thẳng y = 3x - 1.
Câu 3: (2 điểm)
Bài 1: Giải phương trình và hệ phương trình sau:
![]()
Bài 2: Cho một hình chữ nhật có chiều dài lớn hơn chiều rộng 8m. Nếu tăng chiều rộng thêm 2m và giảm chiều dài đi 5m thì diện tích hình chữ nhật mới là 210m2. Tính chiều dài và chiều rộng của hình chữ nhật ban đầu.
Câu 4: (4 điểm)
Qua điểm B nằm ở bên ngoài đường tròn (O), vẽ hai tiếp tuyến BC và BD với đường tròn (O), (C, D là các tiếp điểm).
a) Chứng minh tứ giác BCOD nội tiếp.
b) Chứng minh BO vuông góc CD.
c) Từ B vẽ cát tuyến BMN (M nằm giữa B và N, tia BN nằm giữa hai tia BC và BO), gọi H là giao điểm của BO và CD. Chứng minh BM.BN = BH.BO
d) Chứng minh góc HNM = MOH và HC là tia phân giác của góc MHN
Download tài liệu để xem thêm chi tiết.
Theo Nghị định 147/2024/ND-CP, bạn cần xác thực tài khoản trước khi sử dụng tính năng này. Chúng tôi sẽ gửi mã xác thực qua SMS hoặc Zalo tới số điện thoại mà bạn nhập dưới đây: