Hỗ trợ tư vấn
Tư vấn - Giải đáp - Hỗ trợ đặt tài liệu
Mua gói Pro để tải file trên Download.vn (không bao gồm tài liệu cao cấp) và trải nghiệm website không quảng cáo
Tìm hiểu thêm »
SỞ GIÁO DỤC VÀ ĐÀO TẠO
|
KỲ THI TUYỂN SINH LỚP 10 THPT
|
MÔN THI: TOÁN (Chuyên)
Ngày thi: 07/07/2011
Thời gian làm bài 120 phút: (không kể thời gian giao đề)
--------------------------------------------------------------------------------
Câu 1 (2,0 điểm).
Chứng minh số n = 2000042 + 2000032 + 2000022 - 2000012 không phải là số chính phương.
Câu 2 (2,0 điểm).
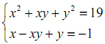
Giải hệphương trình: 
Câu 3 (2,0 điểm).
Cho phương trình: x2 - (2m + 3)x + m = 0 (m là tham số).
a. Chứng minh rằng phương trình luôn có hai nghiệm với mọi m.
b. Gọi x1, x2 là các nghiệm của phương trình. Tìm giá trị của m để biểu thức T = x12 + x22 có giá trị nhỏ nhất.
Câu 4 (2,0 điểm).
Cho tam giác ABC đều, nội tiếp trong đường tròn (O). Trên cung nhỏ BC lấy điểm M. Trên tia MA lấy điểm D sao cho MD = MB.
a. Chứng minh rằng tam giác MBD đều.
b. Chứng minh rằng MA = MB + MC.
Câu 5 (2,0 điểm).
Cho đường tròn (O;R) trên đó có ba điểm A, B, C phân biệt. Gọi H là trực tâm tam giác ABC. Tam giác ABC phải có điều kiện gì để AH+ BC là lớn nhất? Tính giá trị lớn nhất đó theo R.
Download tài liệu để xem thêm chi tiết
Theo Nghị định 147/2024/ND-CP, bạn cần xác thực tài khoản trước khi sử dụng tính năng này. Chúng tôi sẽ gửi mã xác thực qua SMS hoặc Zalo tới số điện thoại mà bạn nhập dưới đây: