Hỗ trợ tư vấn
Tư vấn - Giải đáp - Hỗ trợ đặt tài liệu
Mua gói Pro để tải file trên Download.vn (không bao gồm tài liệu cao cấp) và trải nghiệm website không quảng cáo
Tìm hiểu thêm »
SỞ GIÁO DỤC VÀ ĐÀO TẠO
|
KỲ THI TUYỂN SINH LỚP 10 THPT
|
MÔN THI: TOÁN (Chuyên)
Thời gian làm bài 150 phút: (không kể thời gian giao đề)
--------------------------------------------------------------------------------
Câu 1 (2,0 điểm).
Chứng minh rằng n3 + 3n2 + 2n chia hết cho 6 với mọi n là số tự nhiên khác 0.
Câu 2 (2,0 điểm).
Cho phương trình: x2 - (2m + 3)x + m - 3 = 0 (với m là tham số)
a. Chứng tỏ rằng phương trình luôn có nghiệm với mọi tham số m
b. Gọi x1, x2 là các nghiệm của phương trình trên. Tìm m để |x1 - x2| đạt giá trị nhỏ nhất. Tính giá trị nhỏ nhất ấy.
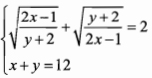
Câu 3 (2,0 điểm).
Giải hệ phương trình: 
Câu 4 (2,0 điểm).
Cho đường tròn (O; R). Từ một điểm M ở ngoài đường tròn vẽ hai tiếp tuyến MP và MN với đường tròn tâm (O); với P, N là hai tiếp điểm. Vẽ một cát tuyến đi qua M cắt đường tròn tại hai điểm A và B.
a. Chứng minh góc PMO = góc PNO
b. Chứng minh đường tròn ngoại tiếp tam giác MNP đi qua hai điểm có định khi M di chuyển trên cát tuyến trên.
c. Gọi I là giao điểm của MO với đường tròn (O). Chứng minh I là tâm của đường tròn nội tiếp tam giác MNP
Download tài liệu để xem thêm chi tiết
Theo Nghị định 147/2024/ND-CP, bạn cần xác thực tài khoản trước khi sử dụng tính năng này. Chúng tôi sẽ gửi mã xác thực qua SMS hoặc Zalo tới số điện thoại mà bạn nhập dưới đây: