Đề thi tuyển sinh lớp 10 THPT Chuyên trường ĐH Sư Phạm Hà Nội năm 2012 - 2013 môn Toán Đề thi môn Toán

BỘ GIÁO DỤC VÀ ĐÀO TẠO
TRƯỜNG ĐH SƯ PHẠM HÀ NỘI

ĐỀ THI CHÍNH THỨC

KỲ THI TUYỂN SINH LỚP 10 THPT CHUYÊN
NĂM HỌC 2012 - 2013

MÔN THI: TOÁN
(Dành cho học sinh thi vào Trường chuyên)
Thời gian làm bài: 120 phút (không kể thời gian giao đề)

Câu 1 (2 điểm).

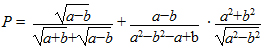
Cho biểu thức: Đề thi tuyển sinh lớp 10 THPT Chuyên trường ĐH Sư Phạm Hà Nội năm 2012 - 2013 môn Toánvới a > b > 0.

a) Rút gọn P.

b) Biết a − b = 1. Tìm giá trị nhỏ nhất của P.

Câu 2 (2 điểm).

Trên quãng đường AB dài 210 km, tại cùng một thời điểm, một xe máy khởi hành từ A đi về B và một ô tô khởi hành từ B đi về A. Sau khi gặp nhau, xe máy đi tiếp 4 giờ nữa thì đến B và ô tô đi tiếp 2 giờ 15 phút nữa thì đến A. Biết rằng xe máy và ô tô không thay đổi vận tốc trên suốt chặng đường. Tính vận tốc của xe máy và của ô tô.

Câu 3 (2 điểm).

Trong mặt phẳng tọa độ Oxy, cho parabol (P): y = − x2 và đường thẳng (d): y = mx − n − 2 (m là tham số).

a) Chứng minh rằng khi m thay đổi, (d) luôn cắt (P) tại hai điểm phân biệt có hoành độ x1, x2.

b) Tìm m để |x1 − x2| = √20.

Câu 4 (3 điểm).

Cho tam giác ABC. Đường tròn (ω) có tâm O và tiếp xúc với các đoạn thẳng AB, AC tương ứng tại K, L. Tiếp tuyến (d) của đường tròn (ω) tại điểm E thuộc cung nhỏ KL, cắt các đường thẳng AL, AK tương ứng tại M, N. Đường thẳng KL cắt OM tại P và cắt ON tại Q.

a) Chứng minh góc MON = 900 − 1/2 góc BAC.

b) Chứng minh rằng các đường thẳng MQ, NP và OE cùng đi qua một điểm.

c) Chứng minh KQ.PL = EM.EN

Câu 5 (1 điểm).

Cho các số thực dương x, y thỏa mãn điều kiện √xy(x − y) = x + y. Tìm giá trị nhỏ nhất của biểu thức P = x + y.

Download tài liệu để xem thêm chi tiết.

Chia sẻ bởi:
Liên kết tải về
Tìm thêm: Toán 9
Xác thực tài khoản!

Theo Nghị định 147/2024/ND-CP, bạn cần xác thực tài khoản trước khi sử dụng tính năng này. Chúng tôi sẽ gửi mã xác thực qua SMS hoặc Zalo tới số điện thoại mà bạn nhập dưới đây:

Số điện thoại chưa đúng định dạng!
Số điện thoại này đã được xác thực!
Bạn có thể dùng Sđt này đăng nhập tại đây!
Lỗi gửi SMS, liên hệ Admin
Sắp xếp theo
👨
Đóng
Chỉ thành viên Download Pro tải được nội dung này! Download Pro - Tải nhanh, website không quảng cáo! Tìm hiểu thêm
Nhắn tin Zalo