Hỗ trợ tư vấn
Tư vấn - Giải đáp - Hỗ trợ đặt tài liệu
Mua gói Pro để tải file trên Download.vn (không bao gồm tài liệu cao cấp) và trải nghiệm website không quảng cáo
Tìm hiểu thêm »ĐỀ THI THỬ ĐẠI HỌC - CAO ĐẲNG
NĂM 2012 - 2013
MÔN THI: TOÁN
Đề số 04
PHẦN CHUNG CHO TẤT CẢ CÁC THÍ SINH (7 điểm):
Câu I (2 điểm) Cho hàm số y = f(x) = mx3 + 3mx2 - (m - 1)x - 1, m là tham số
1. Khảo sát sự biến thiên và vẽ đồ thị của hàm số trên khi m = 1.
2. Xác định các giá trị của m để hàm số y = f(x) không có cực trị.
Câu II (2 điểm): Giải phương trình:
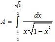
Câu III (1 điểm) Tính tích phân: 
Câu IV (1 điểm) Cho hình nón có đỉnh S, đáy là đường tròn tâm O, SA và SB là hai đường sinh, biết SO = 3, khoảng cách từ O đến mặt phẳng SAB bằng 1, diện tích tam giác SAB bằng 18. Tính thể tích và diện tích xung quanh của hình nón đã cho.
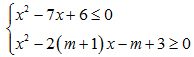
Câu V (1 điểm) Tìm m để hệ bất phương trình sau có nghiệm:

B. PHẦN RIÊNG (3 điểm): Thí sinh chỉ làm một trong hai phần (Phần 1 hoặc phần 2)
1. Theo chương trình chuẩn.
Câu VI.a (2 điểm)
1. Cho tam giác ABC biết các cạnh AB, BC lần lượt là 4x + 3y – 4 = 0; x – y – 1 = 0. Phân giác trong của góc A nằm trên đường thẳng x + 2y – 6 = 0. Tìm tọa độ các đỉnh của tam giác ABC.
2. Cho hai mặt phẳng (P): x + 2y - 2z + 5 = 0; (Q): x + 2y - 2z = 0. Viết phương trình của mặt cầu (S) đi qua gốc tọa độ O, qua điểm A(5;2;1) và tiếp xúc với cả hai mặt phẳng (P) và (Q).
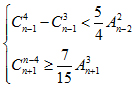
Câu VII.a (1 điểm) Tìm số nguyên dương n thỏa mãn các điều kiện sau:

(Ở đây Akn, Ckn lần lượt là số chỉnh hợp và số tổ hợp chập k của n phần tử)
2. Theo chương trình nâng cao.
Câu VI.b (2 điểm)
1. Cho đường thẳng d: x – 5y – 2 = 0 và đường tròn (C): x2 + y2 + 2x - 4y - 8 = 0. Xác định tọa độ các giao điểm A, B của đường tròn (C) và đường thẳng d (điểm A có hoành độ dương). Tìm tọa độ C thuộc đường tròn (C) sao cho tam giác ABC vuông ở B.
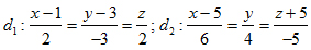
2. Cho mặt phẳng (P): x- 2y - 2z - 1 = 0 và các đường thẳng:
. Tìm các điểm M thuộc d1, N thuộc d2 sao cho MN // (P) và cách (P) một khoảng bằng 2.
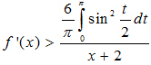
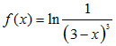
Câu VII.b: Tính đạo hàm f’(x) của hàm số
và giải bất phương trình: 
Download tài liệu để xem thêm chi tiết
Theo Nghị định 147/2024/ND-CP, bạn cần xác thực tài khoản trước khi sử dụng tính năng này. Chúng tôi sẽ gửi mã xác thực qua SMS hoặc Zalo tới số điện thoại mà bạn nhập dưới đây: