Hỗ trợ tư vấn
Tư vấn - Giải đáp - Hỗ trợ đặt tài liệu
Mua gói Pro để tải file trên Download.vn (không bao gồm tài liệu cao cấp) và trải nghiệm website không quảng cáo
Tìm hiểu thêm »ĐỀ THI THỬ ĐẠI HỌC - CAO ĐẲNG
NĂM 2012 - 2013
MÔN THI: TOÁN
Đề số 29
PHẦN CHUNG CHO TẤT CẢ CÁC THÍ SINH (7 điểm)
Câu I. (2 điểm)
Cho hàm số y = x3 + mx + 2 (1)
1. Khảo sát sự biến thiên và vẽ đồ thị của hàm số (1) khi m = -3.
2. Tìm m để đồ thị hàm số (1) cắt trục hòanh tại một điểm duy nhất.
Câu II. (2 điểm)
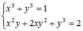
1. Giải hệ phương trình: 
2. Giải phương trình: 
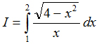
Câu III. (1 điểm) Tính tích phân:

Câu IV. (1 điểm)
Cho hình chóp S.ABCD có đáy ABCD là hình vuông cạnh a, SA = h vuông góc mặt phẳng (ABCD), M là điểm thay đổi trên CD. Kẻ SH vuông góc BM. Xác định vị trí M để thể tích tứ diện S.ABH đạt giá trị lớn nhất. Tính giá trị lớn nhất đó.
Câu V. (1 điểm) Tìm m để phương trình sau có nghiệm thực: 
II. PHẦN RIÊNG. (3 điểm)
Thí sinh chỉ được làm một trong hai phần (phần a họăc phần b)
Câu VI a. (2 điểm)
1. Trong hệ tọa độ Oxy, cho hai đường thẳng d1: x – 2y + 3 = 0, d2: 4x + 3y – 5 = 0. Lập phương trình đường tròn (C) có tâm I trên d1, tiếp xúc d2 và có bán kính R = 2.
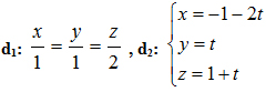
2. Cho hai đường thẳng
và mặt phẳng (P): x – y – z = 0. Tìm tọa độ hai điểm M thuộc d1, N thuộc d2 sao cho MN song song (P) và MN = 
Câu VII a. (1 điểm) Tìm số phức z thỏa mãn: 
Câu VI b. (2 điểm)
1. Cho hình chữ nhật ABCD có cạnh AB: x – 2y – 1 = 0, đường chéo BD: x – 7y + 14 = 0 và đường chéo AC qua điểm M(2 ; 1). Tìm tọa độ các đỉnh của hình chữ nhật.
2. Cho ba điểm O(0; 0; 0), A(0; 0; 4), B(2; 0; 0) và mặt phẳng (P): 2x + 2y – z + 5 = 0. Lập phương trình mặt cầu (S) đi qua ba điểm O, A, B và có khoảng cách từ tâm I đến mặt phẳng (P) bằng 5/3
Câu VII b. (1điểm) Giải bất phương trình: 
Download tài liệu để xem thêm chi tiết
Theo Nghị định 147/2024/ND-CP, bạn cần xác thực tài khoản trước khi sử dụng tính năng này. Chúng tôi sẽ gửi mã xác thực qua SMS hoặc Zalo tới số điện thoại mà bạn nhập dưới đây: