Hỗ trợ tư vấn
Tư vấn - Giải đáp - Hỗ trợ đặt tài liệu
Mua gói Pro để tải file trên Download.vn (không bao gồm tài liệu cao cấp) và trải nghiệm website không quảng cáo
Tìm hiểu thêm »ĐỀ THI THỬ ĐẠI HỌC - CAO ĐẲNG
NĂM 2012 - 2013
MÔN THI: TOÁN
Đề số 22
PHẦN CHUNG CHO TẤT CẢ CÁC THÍ SINH (8 điểm):
Câu 1: ( 2 điểm)
Cho hàm số y = 4x3 + mx2 – 3x
1. Khảo sát và vẽ đồ thị (C) hàm số khi m = 0.
2. Tìm m để hàm số có hai cực trị tại x1 và x2 thỏa x1 = - 4x2
Câu 2: (2 điểm)
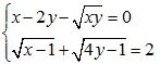
1. Giải hệ phương trình: 
2. Giải phương trình: 
Câu 3: (2 điểm)
1. Cho hình chóp S.ABC có SA vuông góc với mặt phẳng (ABC), tam giác ABC vuông tại C ; M,N là hình chiếu của A trên SB, SC. Biết MN cắt BC tại T. Chứng minh rằng tam giác AMN vuông và AT tiếp xúc với mặt cầu đường kính AB.
2. Tính tích phân: 
Câu 4: (2 điểm)
1. Trong không gian với hệ trục tọa độ Oxyz, cho bốn điểm A(4;5;6); B(0;0;1); C(0;2;0); D(3;0;0). Chứng minh các đường thẳng AB và CD chéo nhau. Viết phương trình đường thẳng (D) vuông góc với mặt phẳng Oxy và cắt được các đường thẳng AB; CD.
2. Cho ba số thực dương a, b, c thỏa: 
Tìm giá trị lớn nhất của biểu thức S = a + b + c
B. PHẦN TỰ CHỌN: Thí sinh chỉ chọn câu 5a hoặc 5b
Câu 5a: Theo chương trình chuẩn: ( 2 điểm)
1. Trong không gian với hệ trục tọa độ Oxyz, cho điểm A(4;5;6). Viết phương trình mặt phẳng (P) qua A; cắt các trục tọa độ lần lượt tại I; J; K mà A là trực tâm của tam giác IJK.
2. Biết (D) và (D’) là hai đường thẳng song song. Lấy trên (D) 5 điểm và trên (D’) n điểm và nối các điểm ta được các tam giác. Tìm n để số tam giác lập được bằng 45.
Câu 5b: Theo chương trình nâng cao: ( 2 điểm)
1. Trong mặt phẳng với hệ trục tọa độ Oxy, cho đường thẳng (D): x – 3y – 4 = 0 và đường tròn (C): x2 + y2 – 4y = 0. Tìm M thuộc (D) và N thuộc (C) sao cho chúng đối xứng qua A(3;1).
2. Tìm m để bất phương trình: 52x – 5x+1 – 2m5x + m2 + 5m > 0 thỏa với mọi số thực x.
Download tài liệu để xem thêm chi tiết
Theo Nghị định 147/2024/ND-CP, bạn cần xác thực tài khoản trước khi sử dụng tính năng này. Chúng tôi sẽ gửi mã xác thực qua SMS hoặc Zalo tới số điện thoại mà bạn nhập dưới đây: