Hỗ trợ tư vấn
Tư vấn - Giải đáp - Hỗ trợ đặt tài liệu
Mua gói Pro để tải file trên Download.vn (không bao gồm tài liệu cao cấp) và trải nghiệm website không quảng cáo
Tìm hiểu thêm »ĐỀ THI THỬ ĐẠI HỌC - CAO ĐẲNG
NĂM 2012 - 2013
MÔN THI: TOÁN
Đề số 25
Bài 1:
Cho hàm số y = x4 + mx3 - 2x2 -3mx + 1 (1)
1). Khảo sát sự biến thiên và vẽ đồ thị (C) của hàm số (1) khi m = 0.
2). Định m để hàm số (1) có hai cực tiểu.
Bài 2:
1). Giải phương trình: 
2). Giải phương trình: 
Bài 3:
Cho các điểm A(-1; -1; 0), B(1; -1; 2), C(2; -2; 1), D(-1;1;1).
1). Viết phương trình của mặt phẳng chứa AB và song song với CD. Tính góc giữa AB, CD.
2). Giả sử mặt phẳng (r) đi qua D và cắt ba trục tọa độ tại các điểm M, N, P khác gốc O sao cho D là trực tâm của tam giác MNP. Hãy viết phương trình của (r).
Bài 4: Tính tích phân: 
Bài 5: Giải phương trình: 
Bài 6: Giải bất phương trình: 
Bài 7:
1). Cho tập A gồm 50 phần tử khác nhau. Xét các tập con không rỗng chứa một số chẵn các phần tử rút ra từ tập A. Hãy tính xem có bao nhiêu tập con như vậy.
2). Cho số phức
. Hãy tính : 1 + z + z2.
Bài 8:
Cho lăng trụ ABC.A'B'C' có A'.ABC là h.chóp tam giác đều cạnh đáy AB = a, cạnh bên AA' = b. Gọi i là góc giữa hai mặt phẳng (ABC) và (A'BC). Tính tanr và thể tích của khối chóp A'.BB'C'C.
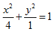
Câu 9:
Trong mặt phẳng với hệ toạ độ Oxy cho điểm C(2; 0) và elip (E):
. Tìm toạ độ các điểm A, B thuộc (E), biết rằng hai điểm A, B đối xứng với nhau qua trục hoành và tam giác ABC là tam giác đều.
Download tài liệu để xem thêm chi tiết
Theo Nghị định 147/2024/ND-CP, bạn cần xác thực tài khoản trước khi sử dụng tính năng này. Chúng tôi sẽ gửi mã xác thực qua SMS hoặc Zalo tới số điện thoại mà bạn nhập dưới đây: