Hỗ trợ tư vấn
Tư vấn - Giải đáp - Hỗ trợ đặt tài liệu
Mua gói Pro để tải file trên Download.vn (không bao gồm tài liệu cao cấp) và trải nghiệm website không quảng cáo
Tìm hiểu thêm »ĐỀ THI THỬ ĐẠI HỌC - CAO ĐẲNG
NĂM 2012 - 2013
MÔN THI: TOÁN
Đề số 23
PHẦN CHUNG CHO TẤT CẢ CÁC THÍ SINH (7 điểm):
Câu I (2 điểm) Cho hàm số y = f(x) = x4 - 2x2
1. Khảo sát và vẽ đồ thị (C) của hàm số.
2. Trên (C) lấy hai điểm phân biệt A và B có hoành độ lần lượt là a và b. Tìm điều kiện đối với a và b để hai tiếp tuyến của (C) tại A và B song song với nhau.
Câu II (2 điểm)
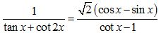
1. Giải phương trình lượng giác: 
2. Giải bất phương trình: 
Câu III (1 điểm) Tính tích phân: 
Câu IV (1 điểm) Cho một hình trụ tròn xoay và hình vuông ABCD cạnh a có hai đỉnh liên tiếp A, B nằm trên đường tròn đáy thứ nhất của hình trụ, hai đỉnh còn lại nằm trên đường tròn đáy thứ hai của hình trụ. Mặt phẳng (ABCD) tạo với đáy hình trụ góc 450. Tính diện tích xung quanh và thể tích của hình trụ.
Câu V (1 điểm) Cho phương trình: 
Tìm m để phương trình có một nghiệm duy nhất.
PHẦN RIÊNG (3 điểm): Thí sinh chỉ làm một trong hai phần (Phần 1 hoặc phần 2)
1. Theo chương trình chuẩn.
Câu VI.a (2 điểm)
1. Trong mặt phẳng với hệ tọa độ Oxy, cho đường tròn (C) và đường thẳng d định bởi: (C): x2 + y2 - 4x - 2y = 0; d: x + 2y - 12 = 0. Tìm điểm M trên d sao cho từ M vẽ được với (C) hai tiếp tuyến lập với nhau một góc 600.
2. Trong không gian với hệ tọa độ Oxyz, cho tứ diện ABCD với A(2;1;0), B(1;1;3), C(2;-1;3), D(1;-1;0). Tìm tọa độ tâm và bán kính của mặt cầu ngoại tiếp tứ diện ABCD.
Câu VII.a (1 điểm) Có 10 viên bi đỏ có bán kính khác nhau, 5 viên bi xanh có bán kính khác nhau và 3 viên bi vàng có bán kính khác nhau. Hỏi có bao nhiêu cách chọn ra 9 viên bi có đủ ba màu?
2. Theo chương trình nâng cao.
Câu VI.b (2 điểm)
1. Trong mặt phẳng tọa độ Oxy, cho hình chữ nhật ABCD có diện tích bằng 12, tâm I thuộc đường thẳng (d): x - y - 3 = 0 và có hoành độ x1 = 9/2, trung điểm của một cạnh là giao điểm của (d) và trục Ox. Tìm tọa độ các đỉnh của hình chữ nhật.
2. Trong hệ tọa độ Oxyz, cho mặt cầu (S) và mặt phẳng (P) có phương trình là: (S): x2 + y2 + z2 - 4x + 2y - 6z + 5 = 0. (P): 2x + 2y -z + 16 = 0. Điểm M di động trên (S) và điểm N di động trên (P). Tính độ dài ngắn nhất của đoạn thẳng MN. Xác định vị trí của M, N tương ứng.
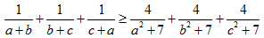
Câu VII.b: Cho a, b, c là những số dương thỏa mãn: a2 + b2 + c2 = 3. Chứng minh bất đẳng thức:

Download tài liệu để xem thêm chi tiết
Theo Nghị định 147/2024/ND-CP, bạn cần xác thực tài khoản trước khi sử dụng tính năng này. Chúng tôi sẽ gửi mã xác thực qua SMS hoặc Zalo tới số điện thoại mà bạn nhập dưới đây: