Hỗ trợ tư vấn
Tư vấn - Giải đáp - Hỗ trợ đặt tài liệu
Mua gói Pro để tải file trên Download.vn (không bao gồm tài liệu cao cấp) và trải nghiệm website không quảng cáo
Tìm hiểu thêm »
SỞ GIÁO DỤC VÀ ĐÀO TẠO
|
KỲ THI CHỌN HSG GIẢI TOÁN TRÊN MÁY TÍNH CẦM TAY
|
Chú ý:
- Các giá trị phải tính ra số thập phân, lấy chính xác 5 chữ số thập phân không làm tròn.
- Thí sinh phải ghi tóm tắt cách giải hay công thức tính.
- Đề thi có 10 bài, mỗi bài 1 điểm.
Bài 1.
Cho hàm số
. Tính gần đúng tọa độ điểm M thuộc đồ thị (C) sao cho tiếp tuyến của (C) tại điểm M cắt hai trục tọa độ Ox, Oy lần lượt tại A, B và OB = 2OA.
Bài 2.
Tính gần đúng giá trị lớn nhất và giá trị nhỏ nhất của hàm số: ![]()
Bài 3.
Tính gần đúng các nghiệm của phương trình: ![]()
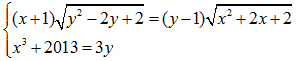
Bài 4.
Tính gần đúng các nghiệm của hệ phương trình:
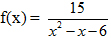
Bài 5.
Cho hàm số
. Tính giá trị gần đúng của tổng:
S= f(4) + f(5) + f(6) +…+ f(2013).
Bài 6.
Cho tam giác ABC vuông tại đỉnh A có độ dài cạnh huyền BC = 11cm và . Từ đỉnh A của tam giác ABC vẽ đường phân giác trong AD và đường trung tuyến AM (D, M lần lượt là chân đường phân giác và đường trung tuyến). Tính giá trị gần đúng của diện tích tam giác ADM.
Bài 7.
Cho hình chóp tứ giác đều S.ABCD có tất cả các cạnh bằng a, gọi (S) là mặt cầu ngoại tiếp hình chóp S.ABCD. Tính giá trị gần đúng của a biết thể tích của khối cầu (S) bằng ![]()
Bài 8.
Trong mặt phẳng tọa độ Oxy, cho hai điểm A(1; 4) và B(5; 2). Tìm giá trị gần đúng của tọa độ điểm M trên đường thẳng d: x + y – 2 = 0 sao cho góc BAM = 600
Bài 9.
Cho hình chóp có đáy là hình thoi tâm , hai mặt phẳng (SAC) và (SBD) cùng vuông góc với mặt phẳng (ABCD). Biết
, 2cm, khoảng cách từ điểm đến mặt phẳng (SAB) bằng
cm. Tính giá trị gần đúng của thể tích khối chóp S.ABCD
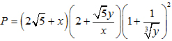
Câu 10.
Cho x, y là hai số thực dương. Tính gần đúng giá trị nhỏ nhất của biểu thức:
Download tài liệu để xem thêm chi tiết
Theo Nghị định 147/2024/ND-CP, bạn cần xác thực tài khoản trước khi sử dụng tính năng này. Chúng tôi sẽ gửi mã xác thực qua SMS hoặc Zalo tới số điện thoại mà bạn nhập dưới đây: