Hỗ trợ tư vấn
Tư vấn - Giải đáp - Hỗ trợ đặt tài liệu
Mua gói Pro để tải file trên Download.vn (không bao gồm tài liệu cao cấp) và trải nghiệm website không quảng cáo
Tìm hiểu thêm »
SỞ GIÁO DỤC VÀ ĐÀO TẠO
|
KỲ THI CHỌN HSG GIẢI TOÁN TRÊN MÁY TÍNH CẦM TAY
|
Chú ý:
+ Nếu chọn giá trị gần đúng cho kết quả cuối cùng thì lấy 5 chữ số thập phân không làm tròn.
+ Khi làm bài thí sinh phải ghi tóm tắt cách giải.
+ Nghiệm của phương trình lượng giác làm tròn đến giây.
+ Bài thi gồm 10 bài, mỗi bài làm đúng được 1 điểm.
Bài 1:
Cho sinα = 0,4567 và 00 < α < 900. Tính gần đúng giá trị của biểu thức: ![]()
Bài 2:
Tính gần đúng tất cả các nghiệm (độ, phút, giây) của phương trình:
4sin3x + 19sin2x + 37sinx + 8 = 0
Bài 3:
Tính gần đúng tất cả các nghiệm (độ, phút, giây) của phương trình:
6sin2x - 5cos2x = 4
Bài 4:
Tìm gần đúng giá trị của m để phương trình: sinx + 2(m + 1)cosx = 1 có một nghiệm là: ![]()
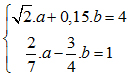
Bài 5:
Gọi a và b là nghiệm của hệ phương trình:
Xét dãy số (Un) biết: un = an + bn+1 - (n + 2)ab
Tính gần đúng giá trị của số hạng u6
Bài 6:
Một kệ sách gồm có 12 quyển sách Toán, 7 quyển sách Lý và 8 quyển sách Hóa. Chọn ngẫu nhiên 2 quyển sách từ kệ sách trên. Tính xác suất để chọn được 2 quyển sách cùng một môn và xác suất để chọn được 2 quyển sách khác môn.
Bài 7:
Tính gần đúng giá trị của a, b và c nếu đường tròn: x2 + y2 + ax + by + c = 0 đi qua ba điểm 
Bài 8:
Tìm gần đúng tọa độ giao điểm A và B của elip
và đường thẳng (d): 2x + 3y – 1 = 0.
Bài 9:
Cho hình thang ABCD có AB//CD, góc DAB = 900 và ABC = 125030'. Cạnh bên
cm và đáy lớn DC = 7,89cm. Tính gần đúng diện tích hình thang ABCD.
Bài 10:
Cho tam giác ABC có góc BAC = 600, AC – AB = 8cm và cạnh BC = 14cm. Tính gần đúng diện tích tam giác ABC.
Download tài liệu để xem thêm chi tiết
Theo Nghị định 147/2024/ND-CP, bạn cần xác thực tài khoản trước khi sử dụng tính năng này. Chúng tôi sẽ gửi mã xác thực qua SMS hoặc Zalo tới số điện thoại mà bạn nhập dưới đây: