Hỗ trợ tư vấn
Tư vấn - Giải đáp - Hỗ trợ đặt tài liệu
Mua gói Pro để tải file trên Download.vn (không bao gồm tài liệu cao cấp) và trải nghiệm website không quảng cáo
Tìm hiểu thêm »
SỞ GIÁO DỤC VÀ ĐÀO TẠO
|
KỲ THI CHỌN HSG GIẢI TOÁN TRÊN MÁY TÍNH CẦM TAY
|
Chú ý:
- Các giá trị phải tính ra số thập phân, lấy chính xác 5 chữ số thập phân không làm tròn.
- Thí sinh phải ghi tóm tắt cách giải hay công thức tính.
- Đề thi có 10 bài, mỗi bài 1 điểm.
Bài 1:
Cho tập hợp ![]()
Tính tổng tất cả các phần tử của tập hợp A.
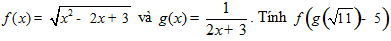
Bài 2:
Cho hàm số
.
Bài 3:
Cho parabol (P) y = 38x2 + 25x – 3 và đường thẳng d: y = 147x + 30. (P) và d cắt nhau tại 2 điểm phân biệt A, B. Tính độ dài đoạn AB.
Bài 4:
Tìm các nghiệm gần đúng của phương trình:
![]()
Bài 5:
Cho
. Tính giá trị nhỏ nhất của biểu thức:
![]()
Bài 6:
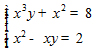
Tìm các nghiệm gần đúng của hệ phương trình:
Bài 7:
Cho ABCD là tứ giác nội tiếp đường tròn với cạnh
, CD = 9, đường chéo AC= 21, góc ABC = 780. Tính gần đúng diện tích tứ giác ABCD.
Bài 8:
Trong mặt phẳng Oxy cho A(2; -1), B(-2; 2). Tìm gần đúng tọa độ điểm M sao cho AM = 2 và góc MAB = 600
Bài 9:
Cho tam giác ABC có trọng tâm G. Điểm H nằm trên cạnh AB sao cho
. Gọi K là điểm đối xứng của B qua G. Tìm hai số thực m, n để ![]()
Bài 10:
Cho tam giác ABC có AB=10, BC=20, CA=17. Một hình vuông có hai đỉnh nằm trên cạnh BC, hai đỉnh kia nằm trên hai cạnh còn lại của tam giác ABC. Tính gần đúng độ dài cạnh hình vuông đó.
Download tài liệu để xem thêm chi tiết
Theo Nghị định 147/2024/ND-CP, bạn cần xác thực tài khoản trước khi sử dụng tính năng này. Chúng tôi sẽ gửi mã xác thực qua SMS hoặc Zalo tới số điện thoại mà bạn nhập dưới đây: