Đề thi - Đáp án thi tuyển sinh lớp 10 THPT tỉnh Thanh Hóa năm 2014 - 2015 Môn: Toán - có đáp án

Download.vn xin giới thiệu tới bạn đọc "Đề thi - Đáp án kỳ thi thi tuyển sinh lớp 10 THPT tỉnh Thanh Hóa năm học 2014 - 2015" gồm các môn: Toán.

Đề thi tuyển sinh lớp 10 THPT tỉnh Thanh Hóa môn Toán:

Câu 1: (2,0 điểm)

1. Giải các phương trình:
a. x – 2 = 0
b. x2 – 6x + 5 = 0

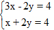
2. Giải hệ phương trình: Đề thi tuyển sinh lớp 10 THPT tỉnh Thanh Hóa năm 2014 - 2015

Câu 2: (2,0 điểm)

Cho biểu thức: Đề thi tuyển sinh lớp 10 THPT tỉnh Thanh Hóa năm 2014 - 2015 với x > 0; x # 1.

1. Rút gọn A.

2. Tính giá trị của biểu thức A khi x = 4 + 2√3

Câu 3: (2,0 điểm)

Trong mặt phẳng tọa độ Oxy cho đường thẳng (d): y = mx - 3 tham số m và Parabol (P): y = x2.

1. Tìm m để đường thẳng (d) đi qua điểm A(1; 0).

2. Tìm m để đường thẳng (d) cắt Parabol (P) tại hai điểm phân biệt có hoàng độ lần lượt là x1, x2 thỏa mãn |x1 - x2| = 2.

Câu 4: (3,0 điểm)

Cho đường tròn tâm O đường kính AB = 2R. Gọi C là trung điểm của OA; qua C kẻ đường thẳng vuông góc với OA cắt đường tròn đó tại hai điểm phân biệt M và N. Trên cung nhỏ BM lấy điểm K ( K khác B và M), trên tia KN lấy điểm I sao cho KI = KM. Gọi H là giao điểm của AK và MN. Chứng minh rằng:

1. Tứ giác BCHK là tứ giác nội tiếp.

2. AK.AH = R2

3. NI = BK

Câu 5: (1,0 điểm)

Cho các số thực dương x, y, z thỏa mãn xyz = 1.

Tìm giá trị lớn nhất của biểu thức: Đề thi tuyển sinh lớp 10 THPT tỉnh Thanh Hóa năm 2014 - 2015

Download tài liệu để xem thêm chi tiết.

Chia sẻ bởi: 👨 Nguyễn Thu Ngân
Liên kết tải về

Chọn file cần tải:

Xác thực tài khoản!

Theo Nghị định 147/2024/ND-CP, bạn cần xác thực tài khoản trước khi sử dụng tính năng này. Chúng tôi sẽ gửi mã xác thực qua SMS hoặc Zalo tới số điện thoại mà bạn nhập dưới đây:

Số điện thoại chưa đúng định dạng!
Số điện thoại này đã được xác thực!
Bạn có thể dùng Sđt này đăng nhập tại đây!
Lỗi gửi SMS, liên hệ Admin
Sắp xếp theo
👨
Đóng
Chỉ thành viên Download Pro tải được nội dung này! Download Pro - Tải nhanh, website không quảng cáo! Tìm hiểu thêm
Nhắn tin Zalo