Đề thi - Đáp án thi tuyển sinh lớp 10 THPT tỉnh Nghệ An năm 2014 - 2015 Môn: Toán - có đáp án, Tiếng Anh

Download.vn xin giới thiệu tới bạn đọc "Đề thi - Đáp án kỳ thi thi tuyển sinh lớp 10 THPT tỉnh Nghệ An năm học 2014 - 2015" gồm các môn: Toán.

Đề thi tuyển sinh lớp 10 THPT tỉnh Nghệ An môn Toán:

Câu 1. (2,5 điểm)

Cho biểu thức: Đề thi tuyển sinh lớp 10 THPT tỉnh Nghệ An môn Toán

a) Tìm điều kiện xác định và rút biểu thức A

b) Tìm tất cả các giá trị của x để A < 0.

Câu 2. (1,5 điểm)

Một ô tô và một xe máy ở hai địa điểm A và B cách nhau 180 km, khởi hành cùng một lúc đi ngược chiều nhau và gặp nhau sau 2 giờ. Biết vận tốc của ô tô lớn hơn vận tốc của xe máy 10 km/h. Tính vận tốc của mỗi xe.

Câu 3. (2,0 điểm)
Cho phương trình x2 + 2(m + 1)x - 2m4 + m2 = 0 (m là tham số)

a) Giải phương trình khi m = 1.

b) Chứng minh rằng phương trình luôn có hai nghiệm phân biệt với mọi m.

Câu 4. (3,0 điểm)

Cho điểm A nằm bên ngoài đường tròn (O). Từ A kẻ hai tiếp tuyến AB, AC với đường tròn đó (B, C là các tiếp điểm). Gọi M là trung điểm của AB. Đường thẳng MC cắt đường tròn (O) tại N (N khác C).

a) Chứng minh ABOC là tứ giác nội tiếp

b) Chứng minh: MB2 = MN.MC

c) Tia AN cắt đường tròn (O) tại D (D khác N). Chứng minh: góc MAN = ADC

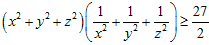
Câu 5. (1,0 điểm)

Cho ba số thực dương x, y, z thỏa mãn x + y ≤ z. Chứng minh rằng:

Đề thi tuyển sinh lớp 10 THPT tỉnh Nghệ An môn Toán

Download tài liệu để xem thêm chi tiết.

Chia sẻ bởi: 👨 Nguyễn Thu Ngân
Liên kết tải về

Chọn file cần tải:

Xác thực tài khoản!

Theo Nghị định 147/2024/ND-CP, bạn cần xác thực tài khoản trước khi sử dụng tính năng này. Chúng tôi sẽ gửi mã xác thực qua SMS hoặc Zalo tới số điện thoại mà bạn nhập dưới đây:

Số điện thoại chưa đúng định dạng!
Số điện thoại này đã được xác thực!
Bạn có thể dùng Sđt này đăng nhập tại đây!
Lỗi gửi SMS, liên hệ Admin
Sắp xếp theo
👨
Đóng
Chỉ thành viên Download Pro tải được nội dung này! Download Pro - Tải nhanh, website không quảng cáo! Tìm hiểu thêm
Nhắn tin Zalo