Hỗ trợ tư vấn
Tư vấn - Giải đáp - Hỗ trợ đặt tài liệu
Mua gói Pro để tải file trên Download.vn (không bao gồm tài liệu cao cấp) và trải nghiệm website không quảng cáo
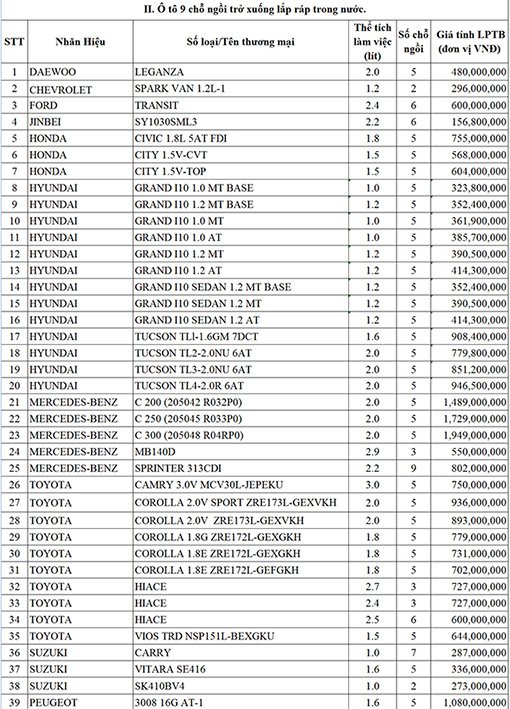
Tìm hiểu thêm »Ngày 09/10/2017, Bộ Tài chính đã ban hành Quyết định 2018/QĐ-BTC về Bổ sung Danh mục Bảng tính giá lệ phí trước bạ ô tô, xe máy ban hành kèm theo Thông tư số 304/2016/TT-BTC ngày 15/11/2016 của Bộ trưởng Bộ Tài chính. Theo đó, bổ sung giá tính lệ phí trước bạ của 67 loại ô tô 9 chỗ ngồi trở xuống nhập khẩu; 39 loại ô tô 9 chỗ ngồi trở xuống lắp ráp trong nước; 2 loại ô tô điện nhập khẩu.... Sau đây là nội dung chi tiết, mời các bạn cùng tham khảo.


Download file tài liệu để xem thêm nội dung chi tiết.
Theo Nghị định 147/2024/ND-CP, bạn cần xác thực tài khoản trước khi sử dụng tính năng này. Chúng tôi sẽ gửi mã xác thực qua SMS hoặc Zalo tới số điện thoại mà bạn nhập dưới đây: