Hỗ trợ tư vấn
Tư vấn - Giải đáp - Hỗ trợ đặt tài liệu
Mua gói Pro để tải file trên Download.vn và trải nghiệm website không quảng cáo
Tìm hiểu thêm »Bộ đề thi vào lớp 10 THPT môn Toán năm học 2016 - 2017 giúp các em học sinh lớp 9 có thêm tài liệu để củng cố kiến thức, luyện các dạng toán để thi vào lớp 10 đạt kết quả cao. Tài liệu cung cấp các dạng bài tập toán đa dạng, phong phú sẽ giúp các em chuẩn bị sẵn sàng cho kì thi tuyển sinh vào THPT.
|
TRƯỜNG THCS TÂN TRƯỜNG ĐỀ THI THỬ LẦN I |
ĐỀ THI TUYỂN SINH LỚP 10 |
Câu 1 (2,0 điểm): Giải các phương trình:
a) 2x4- 7x2 – 4 = 0
![]()
Câu 2 (2,0 điểm)
a) Rút gọn biểu thức:

b) Một phân xưởng theo kế hoạch phải may 1000 bộ quần áo trong thời gian quy định. Khi thực hiện, mỗi ngày xưởng may nhiều hơn 10 bộ và hoàn thành kế hoạch trước 5 ngày. Hỏi theo kế hoạch, mỗi ngày xưởng phải may bao nhiêu bộ quần áo?
Câu 3 (2,0 điểm)
| a. Cho hệ phương trình | { | 3x - y = 2m - 1 |
| x + 2y = 3m + 2 |
Tìm m để hệ có nghiệm (x;y) là tọa độ của điểm nằm trong góc phần tư thứ II của mặt phẳng tọa độ thỏa mãn 3x2+ y2 = 2.
b) Tìm m để phương trình x2 - 2x - 2m + 1= 0 có hai nghiệm x1; x2 thỏa mãn điều kiện x22(x12 - 1) + x12(x22 - 1) = 8.
Câu 4 (3,0 điểm)
Cho đường tròn (O) và dây BC cố định không qua tâm, điểm A chuyển động trên cung lớn BC sao cho tam giác ABC nhọn. Đường cao BE và CF của tam giác ABC cắt nhau tại H và cắt (O) lần lượt tại M và N.
a) Chứng minh tứ giác BCEF nội tiếp và MN // FE.
b) Vẽ đường cao AD của tam giác ABC. Chứng minh H là tâm đường tròn nội tếp tam giác DEF.
c) Đường thẳng qua A và vuông góc với EF luôn đi qua một điểm cố định.
Câu 5 (1,0 điểm)
Cho a, b, c là các số thực dương thỏa mãn điều kiện a2 + b2 + c2 = 3. Tìm giá trị lớn nhất của biểu thức A= ab + bc + ca + a + b + c.
Câu 1 (2,0 điểm):
a) Giải phương trình: 2x4 - 7x2 – 4 = 0 (1)
Đặt x2 = t (t ≥ 0), phương trình (1) trở thành 2t2 - 7t - 4 = 0
Có = (-7)2 - 4.2.(-4) = 81 > 0
→ t1 = 4 (t/m); t2 = (7 - √81)/4 = (7 -9 )/4 = -1/2 (không t/m)
Với t = 4 → x2 = 4 ↔ x1,2 = ±2.
Vậy tập nghiệm của phương trình là S = ±2.
![]()
↔ |2x - 1| = 2015
| ↔ [ | 2x - 1 = 2015 | ↔ [ | 2x = 2016 | ↔ [ | x = 1008 |
| 2x - 1 = -2015 | 2x = -2014 | x = -1007 |
Vậy tập nghiệm của phương trình là S = {1008; -1007}
Câu 2 (2,0 điểm)
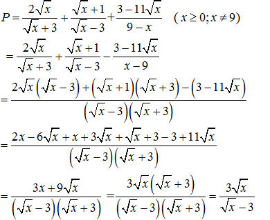
a) Rút gọn biểu thức:

b) Gọi số bộ quần áo may trong mỗi ngày theo kế hoạch là x (bộ), (x ϵ N*)
Số bộ quần áo thực tế mỗi ngày may được là x + 10 ( bộ)
Số ngày hoàn thành công việc theo kế hoạch là: 1000/x (ngày)
Số ngày thực tế đã may là: 1000/(x + 10) (ngày)
Theo bài ra ta có phương trình: 1000/x - 1000/(x + 10) = 5
Giải phương trình ta được x1 = 40 (thỏa mãn); x2 = -50 (loại)
Vậy theo kế hoạch mỗi ngày may được 40 bộ quần áo.
Mời các bạn Download tài liệu để tham khảo trọn bộ đề thi vào 10 THPT môn Toán.
Theo Nghị định 147/2024/ND-CP, bạn cần xác thực tài khoản trước khi sử dụng tính năng này. Chúng tôi sẽ gửi mã xác thực qua SMS hoặc Zalo tới số điện thoại mà bạn nhập dưới đây: