Hỗ trợ tư vấn
Tư vấn - Giải đáp - Hỗ trợ đặt tài liệu
Mua gói Pro để tải file trên Download.vn và trải nghiệm website không quảng cáo
Tìm hiểu thêm »Thông qua việc giải từng đề thi cụ thể trong Bộ đề thi học kì 1 môn Toán lớp 8 năm học 2016 - 2017 này sẽ giúp các bạn học sinh làm quen với cấu trúc đề thi, các dạng bài tập và nắm vững thêm các phần kiến thức đã được học. Chúng tôi hi vọng, bộ đề này là tài liệu hữu ích dành cho các bạn. Chúc các bạn đạt được kết quả học tập cao!
ĐỀ SỐ 1
| PHÒNG GD&ĐT DIỄN CHÂU TRƯỜNG THCS DIỄN LÂM |
KIỂM TRA HỌC KÌ I NĂM HỌC 2016 - 2017 MÔN: TOÁN LỚP 8 Thời gian làm bài: 90 phút |
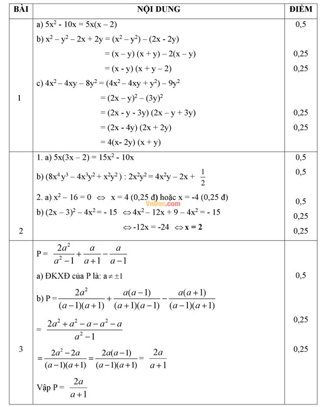
Bài 1. (1,5 điểm) Phân tích đa thức thành nhân tử:
a) 5x2 - 10x b) x2 – y2 – 2x + 2y c) 4x2 – 4xy – 8y2
Bài 2: (2,0 điểm)
1. Thực hiện phép tính:
a) 5x(3x – 2) b) (8x4y3 – 4x3y2 + x2y2) : 2x2y2
2. Tìm x biết
a) x2 – 16 = 0 b) (2x – 3)2 – 4x2 = - 15
Bài 3: (2,5 điểm)
Cho biểu thức: 
a) Tìm a để biểu thức P có nghĩa.
b) Rút gọn P.
c) Tìm giá trị nguyên của a để P có giá trị nguyên
Bài 4. (3,0 điểm).
Cho hình chữ nhật ABCD. Gọi H là chân đường vuông góc kẻ từ A đến BD. Gọi M và N theo thứ tự là trung điểm của các đoạn AH và DH.
a) Chứng minh MN//AD.
b) Gọi I là trung điểm của cạnh BC. Chứng minh tứ giác BMNI là hình bình hành.
c) Chứng minh tam giác ANI vuông tại N.
Bài 5. (1,0 điểm)
Cho các số x, y thoả mãn đẳng thức 5x2 + 5y2 + 8xy - 2x + 2y + 2 = 0. Tính giá trị của biểu thức M = (x + y)2015 + (x - 2)2016 + (y + 1)2017



ĐỀ SỐ 2
| PHÒNG GD&ĐT VĨNH YÊN | KIỂM TRA HỌC KÌ I NĂM HỌC 2016 - 2017 MÔN: TOÁN LỚP 8 Thời gian làm bài: 90 phút |


I. TRẮC NGHIỆM (3,0 điểm). Mỗi câu đúng được 0,5 điểm
|
Câu 1 |
Câu 2 |
Câu 3 |
Câu 4 |
Câu 5 |
Câu 6 |
|
D |
B |
C |
B |
C |
A |
II. TỰ LUẬN (7,0 điểm)



Theo Nghị định 147/2024/ND-CP, bạn cần xác thực tài khoản trước khi sử dụng tính năng này. Chúng tôi sẽ gửi mã xác thực qua SMS hoặc Zalo tới số điện thoại mà bạn nhập dưới đây: