Hỗ trợ tư vấn
Tư vấn - Giải đáp - Hỗ trợ đặt tài liệu
Mua gói Pro để tải file trên Download.vn (không bao gồm tài liệu cao cấp) và trải nghiệm website không quảng cáo
Tìm hiểu thêm »7 bộ đề thi học sinh giỏi tỉnh toán lớp 8 được sưu tầm và giới thiệu tới các bạn, nhằm giúp các em học sinh có tài liệu ôn tập, luyện tập nhằm nắm vững được những kiến thức, kĩ năng cơ bản, đồng thời vận dụng kiến thức để giải các bài tập Toán một cách thuận lợi. Tài liệu này bao gồm đề thi và đáp án, giúp các bạn học sinh tự kiểm tra đánh giá kết quả học tập của mình.
Thời gian: 150 phút - Không kể thời gian giao đề
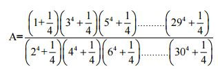
Bài 1 (3 điểm) Tính giá trị biểu thức

Bài 2 (4 điểm)
a/ Với mọi số a, b, c không đồng thời bằng nhau, hãy chứng minh:
a2 + b2 + c2 - ab - ac - bc ≥ 0
b/ Cho a + b + c = 2009. Chứng minh rằng:

Bài 3 (4 điểm) Cho a ≥ 0, b ≥ 0; a và b thoả mãn 2a + 3b ≤ 6 và 2a + b ≤ 4. Tìm giá trị lớn nhất và giá trị nhỏ nhất của biểu thức A = a² - 2a – b
Bài 4 (3 điểm) Giải bài toán bằng cách lập phương trình
Một ô tô đi từ A đến B. Cùng một lúc ô tô thứ hai đi từ B đến A với vận tốc bằng 2/3 vận tốc của ô tô thứ nhất. Sau 5 giờ chúng gặp nhau. Hỏi mỗi ô tô đi cả quãng đường AB thì mất bao lâu?
Bài 5 (6 điểm) Cho tam giác ABC có ba góc nhọn, các điểm M, N thứ tự là trung điểm của BC và AC. Các đường trung trực của BC và AC cắt nhau tại O. Qua A kẻ đường thẳng song song với OM, qua B kẻ đường thẳng song song với ON, chúng cắt nhau tại H
a) Nối MN, Δ AHB đồng dạng với tam giác nào?
b) Gọi G là trọng tâm Δ ABC, chứng minh Δ AHG đồng dạng với Δ MOG?
c) Chứng minh ba điiểm M, O, G thẳng hàng?
Theo Nghị định 147/2024/ND-CP, bạn cần xác thực tài khoản trước khi sử dụng tính năng này. Chúng tôi sẽ gửi mã xác thực qua SMS hoặc Zalo tới số điện thoại mà bạn nhập dưới đây: