Hỗ trợ tư vấn
Tư vấn - Giải đáp - Hỗ trợ đặt tài liệu
Mua gói Pro để tải file trên Download.vn (không bao gồm tài liệu cao cấp) và trải nghiệm website không quảng cáo
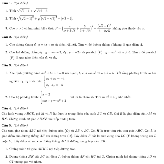
Tìm hiểu thêm »Ngày thi ngày một đang đến gần. Hãy chăm chỉ nâng cao kiến thức cùng bộ tài liệu Tuyển tập 112 đề thi vào lớp 10 môn Toán năm học 2017 – 2018 được Download.vn sưu tầm, tổng hợp và đăng tải ngay sau đây. Đây là tuyển tập 112 đề thi của các trường năm học 2017.
Tài liệu này sẽ giúp các bạn ôn tập và làm quen với các dạng câu hỏi của môn Toán nhằm chuẩn bị tốt nhất cho kỳ thi xét tuyển vào lớp 10 năm học 2018 - 2019 sắp tới. Sau đây, mời các bạn cùng thử sức với đề thi nhé!



Download file tài liệu để xem thêm nội dung chi tiết.
Theo Nghị định 147/2024/ND-CP, bạn cần xác thực tài khoản trước khi sử dụng tính năng này. Chúng tôi sẽ gửi mã xác thực qua SMS hoặc Zalo tới số điện thoại mà bạn nhập dưới đây: