Tổng hợp đề thi thử Học sinh giỏi Lớp 6 môn Toán năm 2013 30 đề

ĐỀ SỐ 1
(Thời gian: 120 phút)

Câu 1: (2 điểm)

Cho biểu thức:

a, Rút gọn biểu thức

b, Chứng minh rằng nếu a là số nguyên thì giá trị của biểu thức tìm được của câu a, là một phân số tối giản.

Câu 2: (1 điểm)

Tìm tất cả các số tự nhiên có 3 chữ số

Câu 3: (2 điểm)

a. Tìm n để n2 + 2006 là một số chính phương

b. Cho n là số nguyên tố lớn hơn 3. Hỏi n2 + 2006 là số nguyên tố hay là hợp số.

Câu 4: (2 điểm)

a. Cho a, b, n thuộc N* Hãy so sánh

b. Cho ; . So sánh A và B.

Câu 5: (2 điểm)

Cho 10 số tự nhiên bất kỳ: a1, a2, ....., a10. Chứng minh rằng thế nào cũng có một số hoặc tổng một số các số liên tiếp nhau trong dãy trên chia hết cho 10.

Câu 6: (1 điểm)

Cho 2006 đường thẳng trong đó bất kì 2 đườngthẳng nào cũng cắt nhau. Không có 3 đường thẳng nào đồng qui. Tính số giao điểm của chúng.

ĐỀ SỐ 2
(Thời gian: 120 phút)

Câu1:

a. Tìm các số tự nhiên x, y sao cho (2x + 1)(y - 5) = 12

b.Tìm số tự nhiên sao cho 4n - 5 chia hết cho 2n - 1

c. Tìm tất cả các số B = 62xy427, biết rằng số B chia hết cho 99

Câu 2.

a. Chứng tỏ rằng là phân số tối giản.

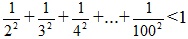
b. Chứng minh rằng:

Câu 3:

Một bác nông dân mang cam đi bán. Lần thứ nhất bán 1/2số cam và 1/2 quả; Lần thứ 2 bán 1/3 số cam còn lạivà 1/3 quả ; Lần thứ 3 bán 1/4số cam còn lại và 3/4 quả. Cuối cung còn lại 24 quả . Hỏi số cam bác nông dân đã mang đi bán .

Câu 4:

Cho 101 đường thẳng trong đó bất cứ hai đường thẳng nào cũng cắt nhau, không có ba đường thẳng nào đồng quy. Tính số giao điểm của chúng.

ĐỀ SỐ 3
(Thời gian: 120 phút)

Bài 1: (1,5 điểm)

Tìm x

a) 5x = 125; b) 32x = 81; c) 52x - 3 – 2.52 = 52.3

Bài 2: (1,5 điểm)

Cho a là số nguyên. Chứng minh rằng: |a| < 5 ↔ -5 < a < 5

Bài 3: (1,5 điểm)

Cho a là một số nguyên. Chứng minh rằng:

a. Nếu a dương thì số liền sau a cũng dương.

b. Nếu a âm thì số liền trước a cũng âm.

c. Có thể kết luận gì về số liền trước của một số dương và số liền sau của một số âm?

Bài 4: (2 điểm)

Cho 31 số nguyên trong đó tổng của 5 số bất kỳ là một số dương. Chứng minh rằng tổng của 31 số đó là số dương.

Bài 5: (2 điểm)

Cho các số tự nhiên từ 1 đến 11 được viết theo thứ tự tuỳ ý sau đó đem cộng mỗi số với số chỉ thứ tự của nó ta được một tổng. Chứng minh rằng trong các tổng nhận được, bao giờ cũng tìm ra hai tổng mà hiệu của chúng là một số chia hết cho 10.

Bài 6: (1,5 điểm)

Cho tia Ox. Trên hai nữa mặt phẳng đối nhău có bờ là Ox. Vẽ hai tia Oy và Oz sao cho góc xOy và xOz bắng 1200. Chứng minh rằng:

a. xOy = xOz = yOz

b. Tia đối của mỗi tia Ox, Oy, Oz là phân giác của góc hợp bởi hai tia còn lại.

Download tài liệu để xem chi tiết.

Chia sẻ bởi:
Liên kết tải về
Tìm thêm: Toán lớp 6
Xác thực tài khoản!

Theo Nghị định 147/2024/ND-CP, bạn cần xác thực tài khoản trước khi sử dụng tính năng này. Chúng tôi sẽ gửi mã xác thực qua SMS hoặc Zalo tới số điện thoại mà bạn nhập dưới đây:

Số điện thoại chưa đúng định dạng!
Số điện thoại này đã được xác thực!
Bạn có thể dùng Sđt này đăng nhập tại đây!
Lỗi gửi SMS, liên hệ Admin
Sắp xếp theo
👨
Đóng
Chỉ thành viên Download Pro tải được nội dung này! Download Pro - Tải nhanh, website không quảng cáo! Tìm hiểu thêm
Nhắn tin Zalo