Hỗ trợ tư vấn
Tư vấn - Giải đáp - Hỗ trợ đặt tài liệu
Mua gói Pro để tải file trên Download.vn (không bao gồm tài liệu cao cấp) và trải nghiệm website không quảng cáo
Tìm hiểu thêm »Tổng hợp bài tập học hè môn Toán lớp 6 là tài liệu tổng hợp kiến thức và các dạng bài tập bài tập trong chương trình học môn Toán lớp 6. Với tài liệu này sẽ giúp các em học sinh củng cố kiến thức đã học và ôn luyện để lên lớp 7 một cách hiệu quả.
Các thầy cô giáo có thể sử dụng tài liệu để hướng dẫn các em ôn tập hoặc các em học sinh sử dụng tại nhà làm tài liệu tự học. Sau đây, mời quý thầy cô và các em cùng tải về trọn bộ tài liệu để tham khảo và ôn luyện nhé.

Câu 4: Phân tích số 2100 ra thừa số nguyên tố rồi cho biết 2100 chia hết cho những thừa số nguyên tố nào?
Câu 5: Tìm số tự nhiên x biết và 10<x<40.
Câu 6: Tìm số tự nhiên x biết và
Câu 7: Tìm x biết
a) Những số có 3 chữ số thuộc tập hợp trên là.
b) Số 128 có là bội của x không?
Câu 8: Cho 3 số tự nhiên: 24, 40, 168.
a) Tìm bội chung nhỏ nhất của 3 số trên.
b) Trong tập hợp bội chung của 3 số trên em hãy ghi ra 4 số chia hết cho 9?
Câu 9: Cho n là số tự nhiên. Chứng minh rằng chia hết cho 6.
Câu 10: Trong các số sau đây, số nào chia hết cho 2 và 5?
A.328 B.1525 C.3250 D.1437
Câu 11: Trong các số: 4419, 3240, 381, 1333, số nào chia hết cho 3 mà không chia hết cho 9?
A.4419 B.381 C.3240 D.1333
Câu 12: Tìm x trong các trường hợp sau:
a) x:12, x:21, x:28
b) x:2, x:3, x:4, x:5 thì đều dư 1và 100< x <150
Câu 13: Cho 3 số: 45, 204, 126.
a) Tìm BCNN của 3 số.
b) Tìm ƯCLN của 3 số.
c) BCNN có chia hết cho ƯCLN không?
Câu 14: Học sinh lớp 6A khi học thể dục có thể xếp thành 4 hàng, 5 hàng, 8 hàng thì vừa đủ. Tính số học sinh của lớp biết lớp không vượt quá 50 học sinh.
Câu 15: Tìm số tự nhiên nhỏ nhất khác 0 chia hết cho 36 và 90.
Câu 16: Tìm số tự nhiên A biết 276 chia A dư 36, 453 chia A dư 21.
Câu 17: Dùng 6, 0, 5 lập được bao nhiêu số có 3 chữ số chia hết cho 5.
Câu 18: cho tập hợp phần tử sau:
M = {1975; 1977; 1979;....2011}
a) Tập hợp trên có mấy phần tử?
b) Tập hợp H = {1975; 1976} có phải là tập hợp con của tập hợp M không? Vì sao?
A. Lý thuyết:
1) Định nghĩa phân số, phân số bằng nhau, tính chất cơ bản của phân số? Viết công thức tổng quát.
2) Phát biểu quy tắc quy đồng mẫu nhiều phân số?
3) Phát biểu và viết công thức tổng quát cộng, trừ, nhân, chia phân số? Cho VD?
4) Phát biểu và viết công thức tổng quát tính chất cơ bản của phép cộng, phép nhân phân số?
5) Phát biểu và viết công thức tổng quát về:
a) Quy tắc tìm giá trị phân số của một số cho trước.
b) Quy tắc tìm một số biết giá trị một phân số của nó?
c) Tìm tỉ số của hai số, tỉ số phần trăm.
6) Định nghĩa góc, vẽ góc cho biết số đo, tam giác, đường tròn, hình tròn.
7) khi nào góc xOy + góc yOz = góc xOz?
8) Tia phân giác của một góc là gì?
B. Bài tập:
Dạng 1: Toán thực hiện dãy tính (tính nhanh nếu có thể)
Bài 109; 110 sgk/49; 138/58; 171; 176/67 sgk
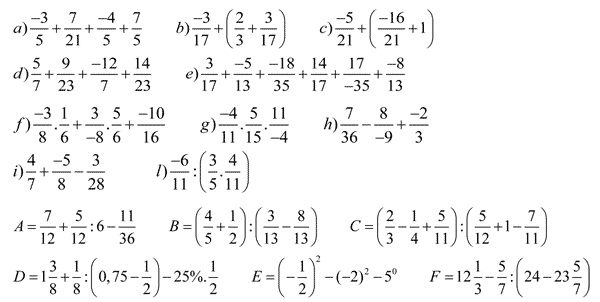
BT thêm: Tính:

Dạng 2: Tìm x, biết



Dạng 3: Tính nhanh:

Dạng 4: Toán đố. Làm bài 163; 164; 165; 166 SGK/65; 172; 173; 175 sgk/67
Bài 1: Một lớp học có 44 học sinh. Số học sinh trung bình chiếm 1/11 số học sinh cả lớp. Số học sinh khá 1/5 số học sinh còn lại.
a) Tính số học sinh giỏi (biết lớp chỉ có ba loại HS TB, khá, giỏi)
b) Tính tỉ số giữa học sinh giỏi và hs trung bình.
c) Tính tỉ số phần trăm giữa học sinh giỏi và khá.
Bài 2: Một đội công nhân sửa một đoạn đường trong ba ngày. Ngày một đội sửa được 2/5 đoạn đường, ngày hai đội sửa được 2/5 đoạn đường. Ngày thứ ba đội làm nốt 210 m đường còn lại. Hỏi:
a) Đoạn đường mà đội đó sửa trong ba ngày dài bao nhiêu?
b) Đoạn đường sửa trong ngày thứ ba bằng bao nhiêu phần trăm đoạn đường sửa trong hai ngày đầu?
Dạng 4: Hình học.Làm bài 30; 33; 34; 35; 36; 37 SGK/87
Bài 1: Trên cùng một nửa mặt phẳng bờ chứa tia Ox vẽ hai tia Oy và Oz sao cho góc xOy bằng 600, góc xOz bằng 1200.
a) Tính góc yOz?
b) Tia Oy có phải là tia phân giác của góc xOz không?
c) Gọi Ot là tia đối của tia Oy. Tính góc kề bù với góc yOz?
Bài 2: Cho xOy và yOz là hai góc kề bù, Gọi Ot và Ot' lần lượt là tia phân giác của góc xOy và góc yOz. Tính góc tOt'.
Bài 3. Cho góc bẹt xOy. Vẽ tia Oz sao cho góc xOz = 700
a) Tính góc zOy?
b) Trên nửa mặt phẳng bờ chứa tia Oz vẽ tia Ot sao cho góc xOt bằng 1400. Chứng tỏ tia Oz là tia phân giác của góc xOt?
c) Vẽ tia Om là tia đối của tia Oz. Tính góc yOm.
.......................................
Tài liệu vẫn còn, mời bạn tải về để xem tiếp
Theo Nghị định 147/2024/ND-CP, bạn cần xác thực tài khoản trước khi sử dụng tính năng này. Chúng tôi sẽ gửi mã xác thực qua SMS hoặc Zalo tới số điện thoại mà bạn nhập dưới đây: