Hỗ trợ tư vấn
Tư vấn - Giải đáp - Hỗ trợ đặt tài liệu
Mua gói Pro để tải file trên Download.vn (không bao gồm tài liệu cao cấp) và trải nghiệm website không quảng cáo
Tìm hiểu thêm »Giải bài tập SGK Hóa học 12 trang 64, 65, 66, 67, 68, 69 sách Chân trời sáng tạo giúp các em học sinh lớp 12 xem gợi ý giải các câu hỏi Bài 12: Thế điện cực và nguồn điện hoá học thuộc Chương 5: Pin điện và điện phân.
Soạn Hóa 12 Chân trời sáng tạo Bài 12 các em sẽ biết cách trả lời toàn bộ các câu hỏi bài học này. Đồng thời, qua tài liệu này giúp quý thầy cô tham khảo để soạn giáo án cho học sinh của mình theo chương trình mới. Mời thầy cô và các em cùng theo dõi bài viết dưới đây của Download.vn:
Viết các cặp oxi hoá – khử của kim loại Na, Mg và Al.
Lời giải:
Các cặp oxi hoá – khử của kim loại Na, Mg và Al lần lượt là: Na+/Na; Mg2+/Mg và Al3+/Al.
Lắp ráp thêm một số pin đơn giản từ các nguyên liệu khác và đo sức điện động của pin.
Lời giải:
Ví dụ: Lắp pin chuối
Chuẩn bị:
Hoá chất: các thanh kim loại: kẽm, đồng; quả chuối…
Dụng cụ: dây điện có sẵn kẹp cá sấu hai đầu, vôn kế.
Tiến hành:
- Cắm hai thanh kim loại vào quả chuối.
- Nối cực âm của vôn kế với thanh kẽm và cực dương của vôn kế với thanh đồng.
Chú ý: Không để hai thanh kim loại tiếp xúc với nhau.
Đo sức điện động của pin.
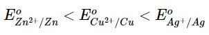
Cho các kim loại: K, Mg, Al, Ag. Hãy viết các cặp oxi hoá – khử tạo bởi các kim loại đó và dựa vào bảng giá trị thế điện cực chuẩn, sắp xếp theo thứ tự giảm dần tính oxi hoá của các ion kim loại tương ứng.
Lời giải:
- Cặp oxi hoá – khử tạo bởi các kim loại K, Mg, Al, Ag lần lượt là: K+/K; Mg2+/Mg; Al3+/Al; Ag+/Ag.
- Dựa vào bảng thế điện cực chuẩn ta có:
![]()
Vậy, thứ tự giảm dần tính oxi hoá của các ion kim loại tương ứng: Ag+, Al3+, Mg2+, K+.
Xác định chiều của các phản ứng hoá học xảy ra giữa các cặp oxi hoá – khử: Cu2+/Cu, Zn2+/Zn và Ag+/Ag ở điều kiện chuẩn. Giải thích và viết phương trình hoá học.
Lời giải:
Chiều của phản ứng hóa học xảy ra giữa các cặp oxi hóa – khử: Kim loại của cặp oxi hoá - khử có thế điện cực chuẩn nhỏ hơn có thể khử được cation kim loại của cặp oxi hoá - khử có thế điện cực chuẩn lớn hơn ở điều kiện chuẩn.
Ta có:

Các phương trình hoá học có thể xảy ra là:
Zn + Cu2+ → Zn2+ + Cu;
Zn + 2Ag+ → Zn2+ + 2Ag;
Cu + 2Ag+ → Cu2+ + 2Ag;
Trong pin điện hoá, quá trình khử
A. xảy ra ở cực âm.
B. xảy ra ở cực dương.
C. xảy ra ở cực âm và cực dương.
D. không xảy ra ở cả cực âm và cực dương.
Lời giải:
Đáp án đúng là: B
Trong pin điện hoá, quá trình khử xảy ra ở cathode (điện cực dương).
Khi pin Galvani Zn-Cu hoạt động thì nồng độ
A. Cu2+ giảm, Zn2+ tăng.
B. Cu2+ giảm, Zn2+ giảm.
C. Cu2+ tăng, Zn2+ tăng.
D. Cu2+ tăng, Zn2+ giảm.
Lời giải:
Đáp án đúng là: A
Phản ứng oxi hoá – khử xảy ra trong pin:
Zn + Cu2+ → Zn2+ + Cu
Vậy, khi pin Galvani Zn-Cu hoạt động thì nồng độ Cu2+ giảm, Zn2+ tăng.
Cho một pin điện hoá được tạo bởi các cặp oxi hoá khử Fe2+/Fe, Ag+/Ag ở điều kiện chuẩn. Quá trình xảy ra ở cực âm khi pin hoạt động là
A. Fe → Fe2+ + 2e.
B. Fe2+ + 2e → Fe.
C. Ag+ + le → Ag.
D. Ag → Ag+ + le.
Lời giải:
Đáp án đúng là: A
Phản ứng oxi hoá – khử diễn ra trong pin:
Fe + 2Ag+ → Fe2+ + 2Ag
Trong pin điện hoá, cực âm là anode, xảy ra quá trình nhường electron.
Vậy, quá trình xảy ra ở cực âm khi pin hoạt động là: Fe → Fe2+ + 2e.
Dựa vào Bảng 12.1, tính sức điện động chuẩn của các pin điện hoá tạo bởi các cặp oxi hoá – khử sau: Fe2+/Fe và Cu2+/Cu; Sn2+/Sn và Ag+/Ag; Pb2+/Pb và Ag+/Ag.
Theo Nghị định 147/2024/ND-CP, bạn cần xác thực tài khoản trước khi sử dụng tính năng này. Chúng tôi sẽ gửi mã xác thực qua SMS hoặc Zalo tới số điện thoại mà bạn nhập dưới đây: