Hỗ trợ tư vấn
Tư vấn - Giải đáp - Hỗ trợ đặt tài liệu
Mua gói Pro để tải file trên Download.vn (không bao gồm tài liệu cao cấp) và trải nghiệm website không quảng cáo
Tìm hiểu thêm »Đề thi Violympic Toán lớp 9 vòng 17 năm 2016 - 2017, có đáp án đi kèm. Cấu trúc đề thi trình bày rõ ràng, khoa học kèm hình ảnh sinh động, giúp các em học sinh lớp 9 ôn tập, củng cố kiến thức thật tốt. Mời các em tham khảo nội dung chi tiết dưới đây:

Trả lời: ...<...<...<...<...<...<...<...<...<...
Câu 1: Cho parabol (P): y = x2 và đường thẳng (d): y= 2mx - m2 + m. Tập hợp giá trị của m để (d) cắt (P) tại hai điểm phân biệt có hoành độ x1; x2 thỏa mãn 2x2 + 3x2 = 6 là
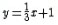
A. ![]()
B. ![]()
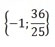
C. ![]()
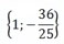
D. ![]()
Câu 2: Cho phương trình 3x3 + ax2 + bx + 12 = 0 (a; b thuộc Z) có một nghiệm là
Khi đó a + b bằng?
A. -12
B. 6
C. -6
D. 12
Câu 3: Tìm m để phương trình x2 + mx - 1 = 0 có hai nghiệm trái dấu x1; x2 thỏa mãn 
D. m = -1
B. m = -1/4
C. m = -2
D. m = -1/2
Câu 4: Cho biết phương trình x2 - 2mx + m - 1 = 0 có hai nghiệm phân biệt x1; x2. Giá trị nhỏ nhất của
là?
A. 1/2
B. 7/4
C. 3/4
D. 4/7
Câu 5: Cho x; y > 0 thỏa mãn điều kiện
Khi đó x3 + y3 bằng?
A. 25
B. 98
C. 91
D. 81
Câu 6: Cho biết phương trình
có hai nghiệm x1 < x2. Giá trị biểu thức
là
A.![]()
B.![]()
C.![]()
D. ![]()
Câu 7: Gọi d là khoảng cách giữa hai đường thẳng song song có phương trình y = -2x + 4 và y = -2x + 6. Khi đó d2 bằng?
A. 5/2
B. 5/4
C. 4/5
D. 2/5
Câu 8: Trong mặt phẳng tọa độ Oxy cho đường thẳng (d): y = mx + 2 và Parabol (P): y = x2. Tập hợp các giá trị của m để (d) cắt (P) tại hai điểm phân biệt A; B sao cho diện tích tam giác AOB bằng 3 (đvdt) là?
A. {-1;2}
B. {-1;-2}
C. {-1;1}
D. {-2;1}
Câu 9: Các số a, b, c, d thỏa mãn điều kiện
Trung bình cộng của giá trị lớn nhất và giá trị nhỏ nhất của a là
A. 7/4
B. 3/4
C. 7/2
D. 3/2
Câu 10: Một hình chữ nhật có các kích thước khác nhau và là các số nguyên sao cho số đo chu vi bằng số đo diện tích. Bán kính đường tròn ngoại tiếp hình chữ nhật là
A. ![]()
B. ![]()
C. ![]()
D. ![]()
Bài 3: Điền kết quả thích hợp vào chỗ chấm
Câu 1: Cho tam giác ABC biết AB = 21, AC = 28, BC = 35. Giá trị của biểu thức
bằng?
Trả lời: ......
Câu 2: Tìm giá trị nguyên lớn nhất của m để phương trình x2 - mx + m2 - 36 = 0 có hai nghiệm trái dấu
Trả lời: ......
Câu 3: Gọi hai giao điểm của Parabol (P): y = x2 và đường thẳng (d): y = 2x + 8 là A và B. Gọi C và D theo thứ tự là hình chiếu của B và A trên Ox. Diện tích tứ giác ABCD là bao nhiêu (đvdt)?
Trả lời: ......
Câu 4: Cho biết 2 đường thẳng
cắt đường thẳng
theo thứ tự tại A và B. Khoảng cách AB là bao nhiêu (đvdt)?
Trả lời: ......
Câu 5: Cho phương trình x2 - (4m + 1)x - 4m - 2 = 0. Giá trị của m để phương trình có nghiệm x1; x2 thỏa mãn
là bao nhiêu?
Trả lời: ......
Câu 6: Tìm một số có hai chữ số biết rằng nếu đem chia số đó cho tổng các chữ số của nó thì được thương là 4 dư 3. Số cần tìm là?
Trả lời: ......
Câu 7: Trong mặt phẳng tọa độ Oxy cho 3 điểm A(0; 2), B(-2; 1), C(1; -4). Tọa độ điểm D để tứ giác ABCD là hình bình hành là D(xD; yD). Khi đó xD - yD = ?
Trả lời: ......
Câu 8: Cho Parabol (P): y = x2 và đường thẳng (d): y = mx - m + 1 (m # 0). Tập hợp các giá trị của m để đường thẳng (d) cắt Parabol (P) tại hai điểm phân biệt có hoành độ là x1 và x2 sao cho x1 = 2x2 có số phần tử là?
Trả lời: ......
Câu 9: Nếu phương trình x4 + ax3 + bx2 + ax + 1 có nghiệm và a2 + b2 đạt giá trị nhỏ nhất thì a bằng bao nhiêu (biết a > 0)
Trả lời: ......
Câu 10: Tam giác ABC vuông tại A có đường phân giác góc B và góc C cắt nhau tại I. Hại IH vuông góc với BC tại H. Biết HB = 5cm, HC = 8cm. Khi đó diện tích tam giác ABC là bao nhiêu cm2?
Trả lời: ......
Bài 1: Sắp xếp thep thứ tự tăng dần
(8) < (3) < (9) < (10) < (7) < (2) < (5) < (1) < (4) < (6)
Bài 2 : Đập dế
|
Câu 1. D Câu 2. C Câu 3. A Câu 4. B Câu 5. C |
Câu 6. D Câu 7. C Câu 8. C Câu 9. A Câu 10. D |
Bài 3: Điền kết quả thích hợp vào chỗ chấm
|
Câu 1. 7 Câu 2. 5 Câu 3. 60 Câu 4. 3,79 Câu 5. 0,25 |
Câu 6. 23 Câu 7. -6 Câu 8. 2 Câu 9. 1 Câu 10. 30 |
Theo Nghị định 147/2024/ND-CP, bạn cần xác thực tài khoản trước khi sử dụng tính năng này. Chúng tôi sẽ gửi mã xác thực qua SMS hoặc Zalo tới số điện thoại mà bạn nhập dưới đây: