Hỗ trợ tư vấn
Tư vấn - Giải đáp - Hỗ trợ đặt tài liệu
Mua gói Pro để tải file trên Download.vn (không bao gồm tài liệu cao cấp) và trải nghiệm website không quảng cáo
Tìm hiểu thêm »Đề thi vào lớp 10 môn Toán tỉnh Tây Ninh năm học 2017 - 2018 dành cho khối chuyên, bao gồm 9 câu với thời gian làm bài là 150 phút. Mời các em cùng theo dõi đề thi trong bài viết dưới đây:
Đề thi tuyển sinh vào lớp 10 môn Toán tỉnh Bình Dương năm học 2017 - 2018 (Có đáp án)
Đề thi vào lớp 10 môn Toán tỉnh Tây Ninh năm học 2017 - 2018 (Có đáp án)
Câu 1: (1 điểm) Giải phương trình 3x2 – 7x + 2 = 0
Câu 2: (1 điểm) Rút gọn biểu thức ![]()
Câu 3: (1 điểm) Tìm m để phương trình
có hai nghiệm phân biệt x1 và x2 sao cho
đạt giá trị nhỏ nhất.
Câu 4: (1 điểm) Cho tam giác ABC vuông tại A, có
. Tính tan
.
Câu 5: (1 điểm) Chứng minh P(n) = n4 – 14n3 + 71n2 – 154n + 120 luôn chia hết cho 24,
với mọi số tự nhiên n N*
Câu 6: Giải hệ phương trình
Câu 7: (2 điểm) Cho A là điểm cố định trên đường tròn (O), bán kính R. Hai dây cung thay đổi AB, AC của đường tròn (O) thỏa:
(B khác C). kẻ AH vuông góc BC (H thuộc BC)
a) Chứng minh ![]()
b) Gọi D và K lần lượt là hình chiếu vuông góc của H trên AB, AC. Chứng minh diện tích tam giác ABC bằng hai lần diện tích tam giác ADK.
Câu 8: (1 điểm) Cho tam giác ABC nhọn (AB < AC) nội tiếp trong đường tròn (O). Gọi D là điểm chính giữa cung lớn BC. Gọi E, F lần lượt là chân đường vuông góc kẻ từ D đến đường phân giác trong góc B và đường phân giác trong góc C của tam giácABC. Chứng minh trung điểm H của EF cách đều hai điểm B và C.
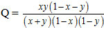
Câu 9: (1 điểm) Cho x, y là các số thực dương bé hơn 1. Tìm giá trị lớn nhất của biểu thức ![]()
Theo Nghị định 147/2024/ND-CP, bạn cần xác thực tài khoản trước khi sử dụng tính năng này. Chúng tôi sẽ gửi mã xác thực qua SMS hoặc Zalo tới số điện thoại mà bạn nhập dưới đây: